🇳🇴 🇬🇧 🇩🇪 🇨🇿 🇫🇮

Meteor Skienin yllä 2017-03-15 20:48:41 UTC

KML-tiedosto  |  Interaktiivinen kartta

Kartta näyttää meteorin suuntahavainnot. Vaaleammat viivat näyttävät suunnat havaintoasemilta meteorin ilmestyessä, ja tummemmat viivat näyttävät, missä se viimeksi nähtiin. Sininen nuoli näyttää meteorin näkyvän lennon.

static map
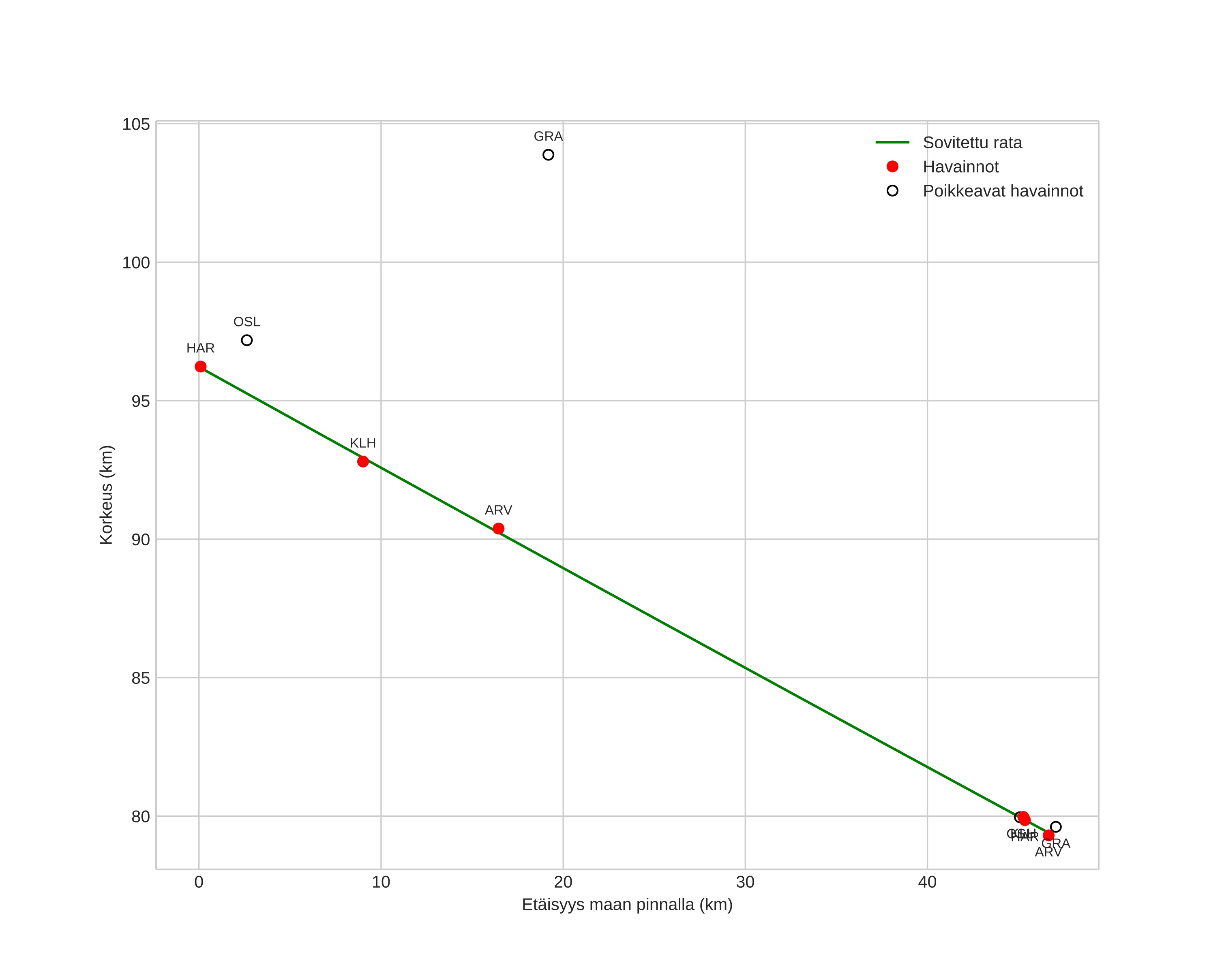
height profile
Meteorin ilmakehärata:
Alkukorkeus: 96,2 km
Loppukorkeus: 79,4 km
Alkupiste: 59,597N 10,062E
Loppupiste: 59,277N 9,527E
Suunta: 220,6°
Kallistuskulma: 19,8°
Tulonopeus: 43,8 km/s
Radiantin R,A,: 17:30 (262,6°)
Radiantin Dekl,: 39,8°
Meteoriparvi: Sporadinen
Meteoroidin rataelementit:
Perihelietäisyys: 0,991 AU
Eksentrisyys: 0,721
Inklinaatio: 73,9°
Nousevan solmun pituus: 355,2°
Perihelin argumentti: 187,4°
Keskianomalia: 359,2°
Epookki: 2017 MAR 15 20:48:41
orbit plot

Ei-interaktiivinen kuvaaja | Interaktiivinen kuvaaja

position vs time
speed and acceleration