🇳🇴 🇬🇧 🇩🇪 🇨🇿 🇫🇮

Meteor, poloha: Kjenn 2017-03-16 03:20:42 UTC

Soubor KML  |  InteraktivnĂ­ mapa

Mapa zobrazuje dráhy meteoru. Světlejší čáry ukazují směry od pozorovacích stanic při objevení se meteoru a tmavší čáry, kde byl naposledy viděn. Modrá šipka značí viditelnou dráhu meteoru.

static map
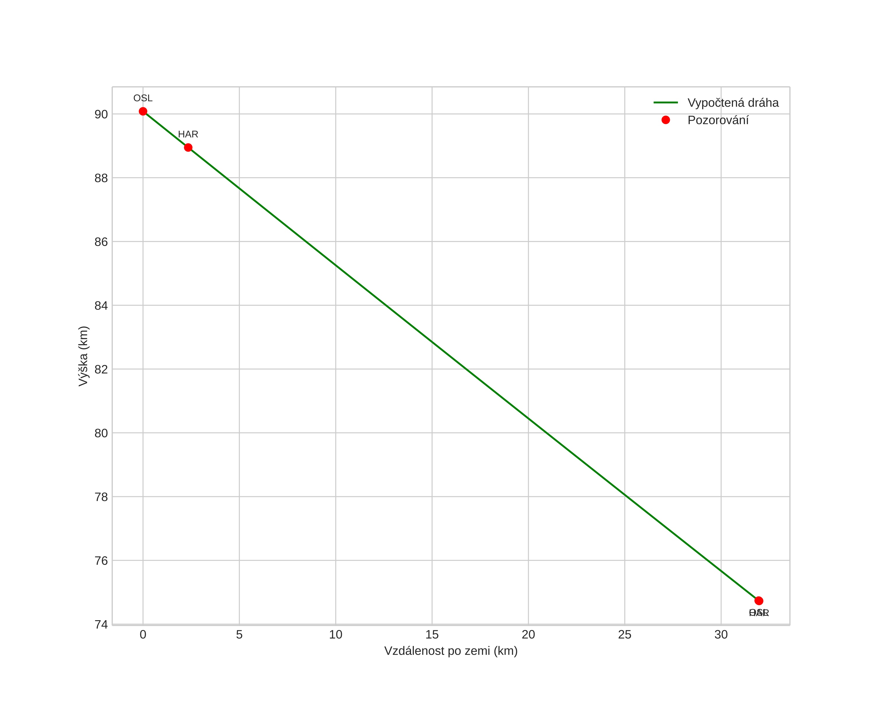
height profile
Atmosférická dráha meteoru:
Počáteční výška: 90,1 km
Konečná výška: 74,7 km
Počáteční poloha: 59,671N 10,465E
Konečná poloha: 59,845N 10,920E
Směr: 52,6°
Sklon: 25,7°
VstupnĂ­ rychlost: 29,5 km/s
Rektascenze radiantu: 12:27 (186,9°)
Deklinace radiantu: 3,2°
MeteorickĂ˝ roj: sporadickĂ˝
Elementy dráhy meteoroidu:
Vzdálenost v periheliu: 0,402 AU
Excentricita: 0,807
Sklon dráhy: 6,1°
Délka vzestupného uzlu: 355,5°
Argument perihelia: 289,5°
Střední anomálie: 345,6°
Epocha: 2017 MAR 16 03:20:42
orbit plot

NeinteraktivnĂ­ graf | InteraktivnĂ­ graf

position vs time
speed and acceleration