🇳🇴 🇬🇧 🇩🇪 🇨🇿 🇫🇮

Meteor Kjennin yllä 2017-03-16 03:20:42 UTC

KML-tiedosto  |  Interaktiivinen kartta

Kartta näyttää meteorin suuntahavainnot. Vaaleammat viivat näyttävät suunnat havaintoasemilta meteorin ilmestyessä, ja tummemmat viivat näyttävät, missä se viimeksi nähtiin. Sininen nuoli näyttää meteorin näkyvän lennon.

static map
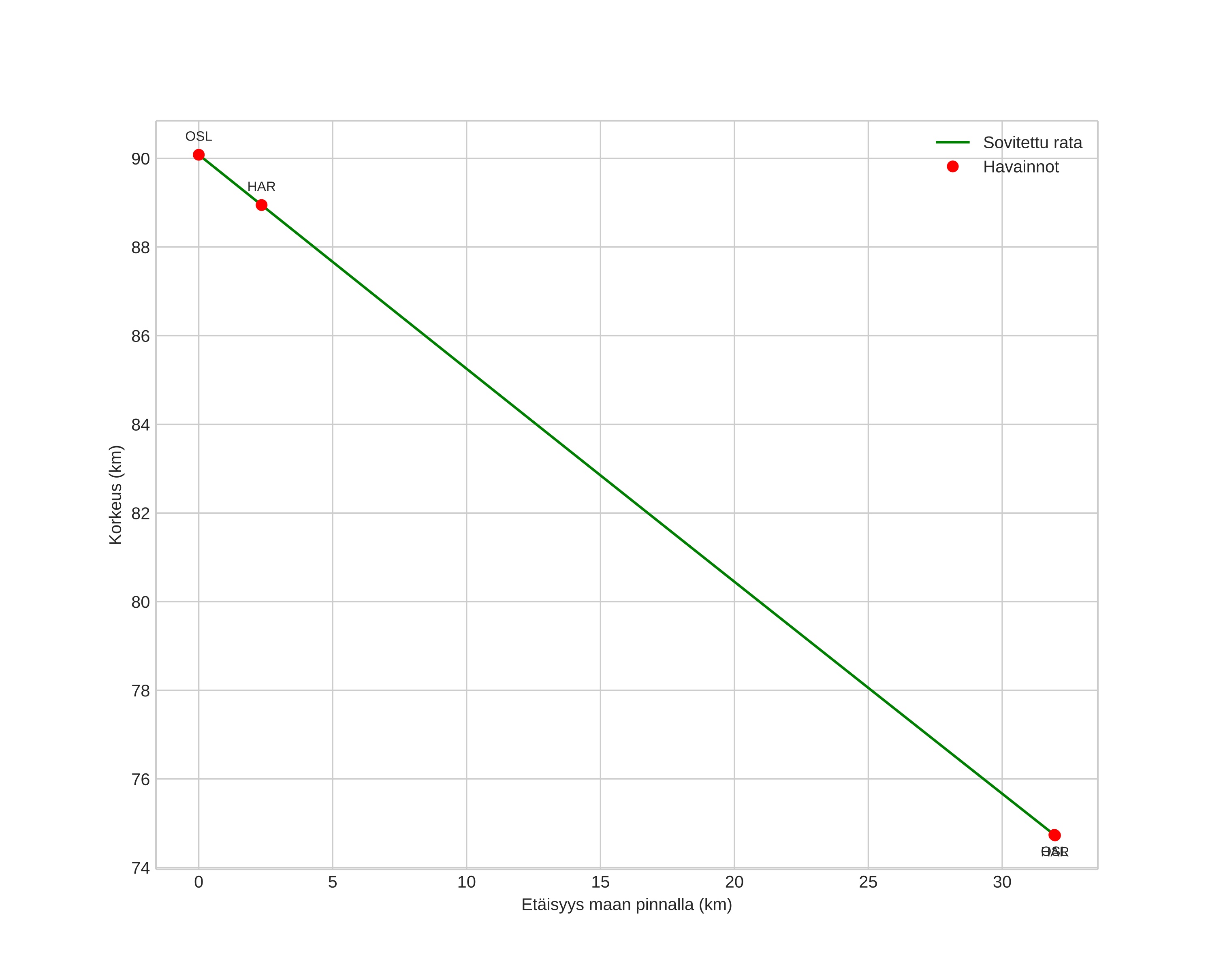
height profile
Meteorin ilmakehärata:
Alkukorkeus: 90,1 km
Loppukorkeus: 74,7 km
Alkupiste: 59,671N 10,465E
Loppupiste: 59,845N 10,920E
Suunta: 52,6°
Kallistuskulma: 25,7°
Tulonopeus: 29,5 km/s
Radiantin R,A,: 12:27 (186,9°)
Radiantin Dekl,: 3,2°
Meteoriparvi: Sporadinen
Meteoroidin rataelementit:
Perihelietäisyys: 0,402 AU
Eksentrisyys: 0,807
Inklinaatio: 6,1°
Nousevan solmun pituus: 355,5°
Perihelin argumentti: 289,5°
Keskianomalia: 345,6°
Epookki: 2017 MAR 16 03:20:42
orbit plot

Ei-interaktiivinen kuvaaja | Interaktiivinen kuvaaja

position vs time
speed and acceleration