🇳🇴 🇬🇧 🇩🇪 🇨🇿 🇫🇮

Meteor, poloha: Olofstorp 2017-03-17 01:47:39 UTC

Soubor KML  |  InteraktivnĂ­ mapa

Mapa zobrazuje dráhy meteoru. Světlejší čáry ukazují směry od pozorovacích stanic při objevení se meteoru a tmavší čáry, kde byl naposledy viděn. Modrá šipka značí viditelnou dráhu meteoru.

static map
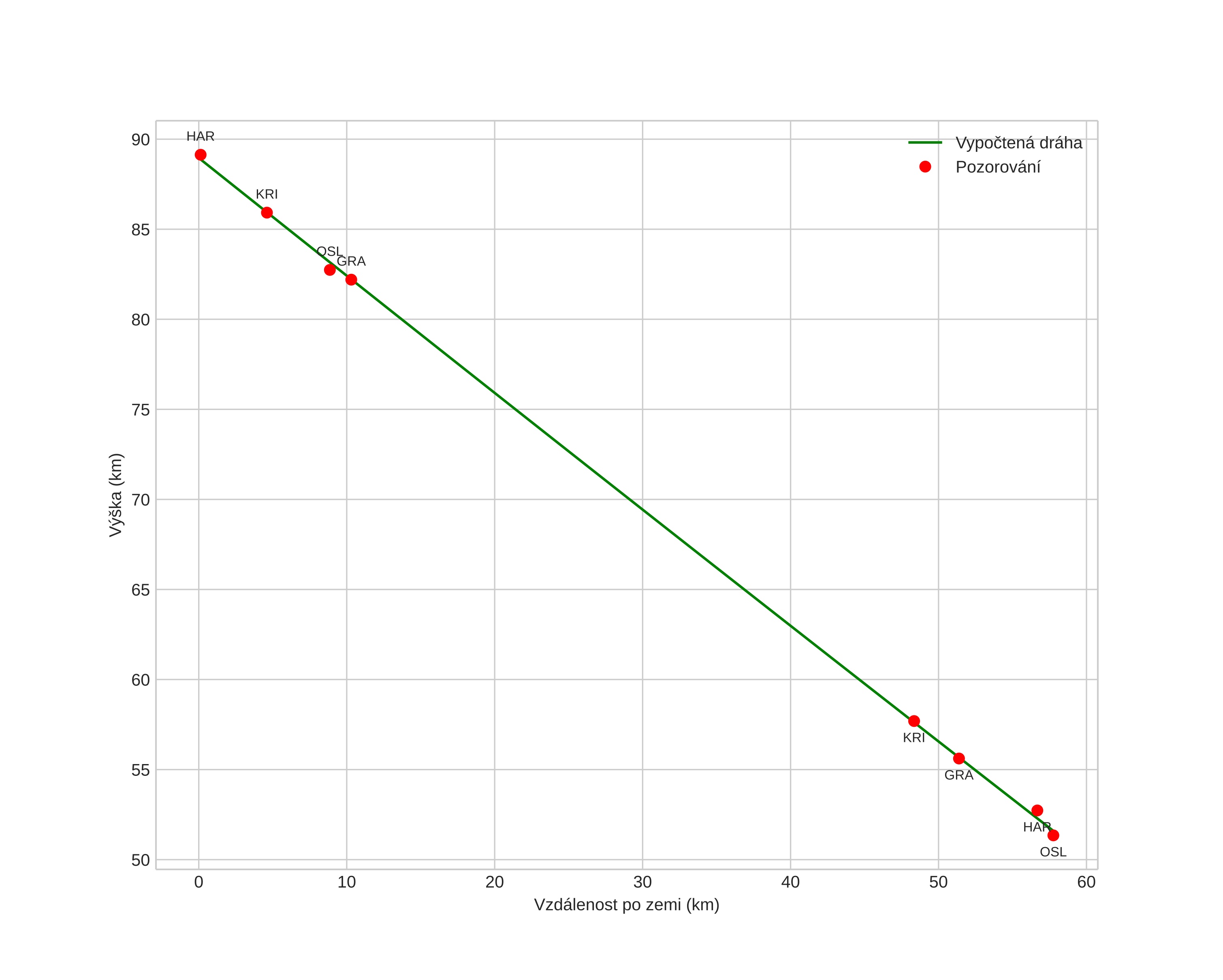
height profile
Atmosférická dráha meteoru:
Počáteční výška: 89,0 km
Konečná výška: 51,5 km
Počáteční poloha: 57,397N 11,680E
Konečná poloha: 57,851N 12,154E
Směr: 29,0°
Sklon: 32,9°
VstupnĂ­ rychlost: 31,1 km/s
Rektascenze radiantu: 12:32 (188,1°)
Deklinace radiantu: 1,6°
MeteorickĂ˝ roj: sporadickĂ˝
Elementy dráhy meteoroidu:
Vzdálenost v periheliu: 0,372 AU
Excentricita: 0,842
Sklon dráhy: 5,5°
Délka vzestupného uzlu: 356,4°
Argument perihelia: 291,7°
Střední anomálie: 348,4°
Epocha: 2017 MAR 17 01:47:39
orbit plot

NeinteraktivnĂ­ graf | InteraktivnĂ­ graf

position vs time
speed and acceleration