🇳🇴 🇬🇧 🇩🇪 🇨🇿 🇫🇮

Meteor über Olofstorp 2017-03-17 01:47:39 UTC

KML-Datei  |  Interaktive Karte

Die Karte zeigt die Peilungen für den Meteor. Die helleren Linien zeigen die Richtungen von den Beobachtungsorten beim Erscheinen des Meteors, und die dunkleren Linien, wo er zuletzt gesehen wurde. Der blaue Pfeil zeigt die sichtbare Bahn des Meteors.

static map
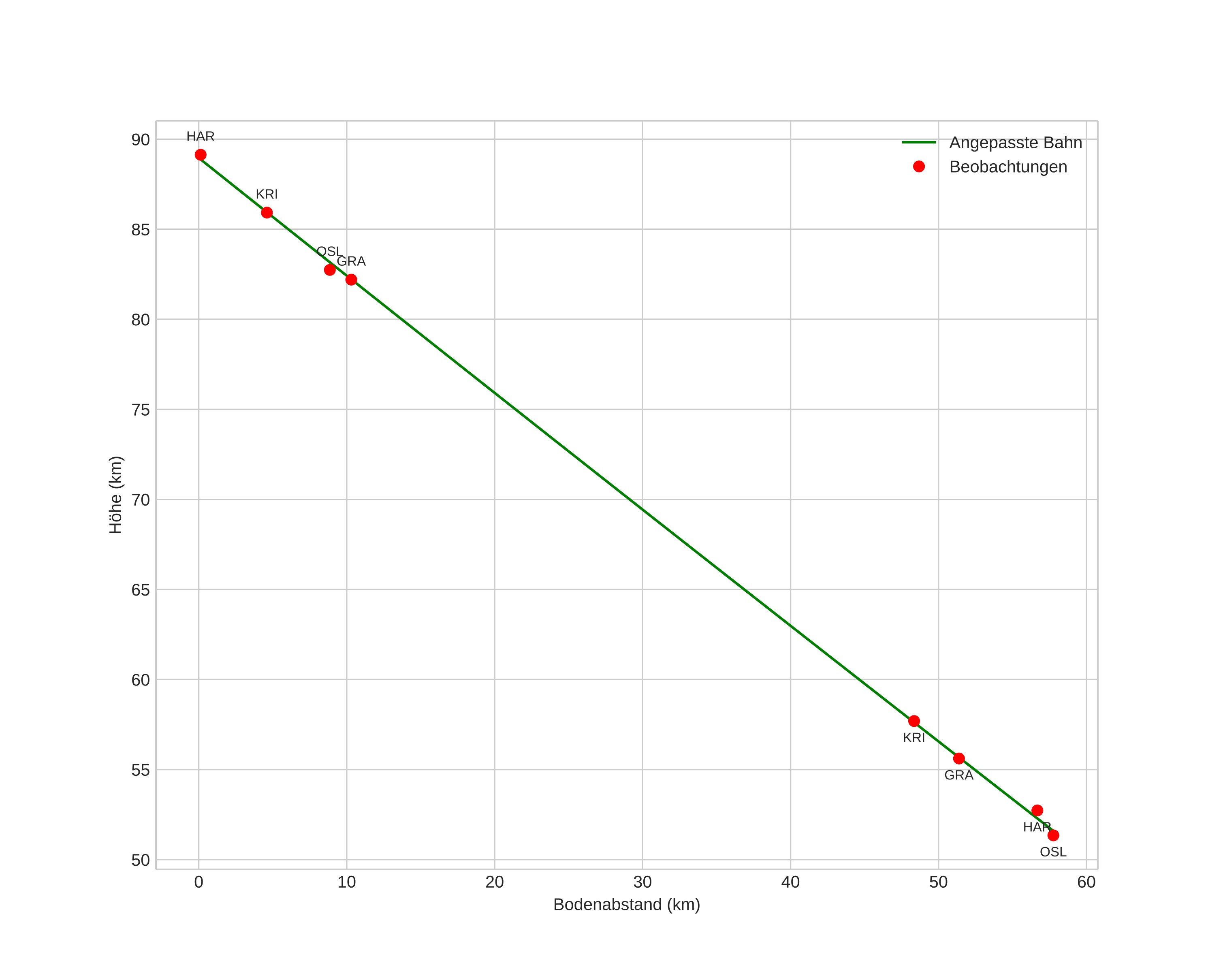
height profile
Atmosphärische Bahn des Meteors:
Anfangshöhe: 89,0 km
Endhöhe: 51,5 km
Startposition: 57,397N 11,680E
Endposition: 57,851N 12,154E
Richtung: 29,0°
Neigungswinkel: 32,9°
Eintrittsgeschwindigkeit: 31,1 km/s
Rektaszension des Radianten: 12:32 (188,1°)
Deklination des Radianten: 1,6°
Meteorstrom: sporadisch
Bahnelemente des Meteoroiden:
Periheldistanz: 0,372 AU
Exzentrizität: 0,842
Inklination: 5,5°
Länge des aufsteigenden Knotens: 356,4°
Argument des Perihels: 291,7°
Mittlere Anomalie: 348,4°
Epoche: 2017 MAR 17 01:47:39
orbit plot

Nicht-interaktives Diagramm | Interaktives Diagramm

position vs time
speed and acceleration