🇳🇴 🇬🇧 🇩🇪 🇨🇿 🇫🇮

Meteor, poloha: Lillehammer 2017-03-18 23:28:24 UTC

Soubor KML  |  InteraktivnĂ­ mapa

Mapa zobrazuje dráhy meteoru. Světlejší čáry ukazují směry od pozorovacích stanic při objevení se meteoru a tmavší čáry, kde byl naposledy viděn. Modrá šipka značí viditelnou dráhu meteoru.

static map
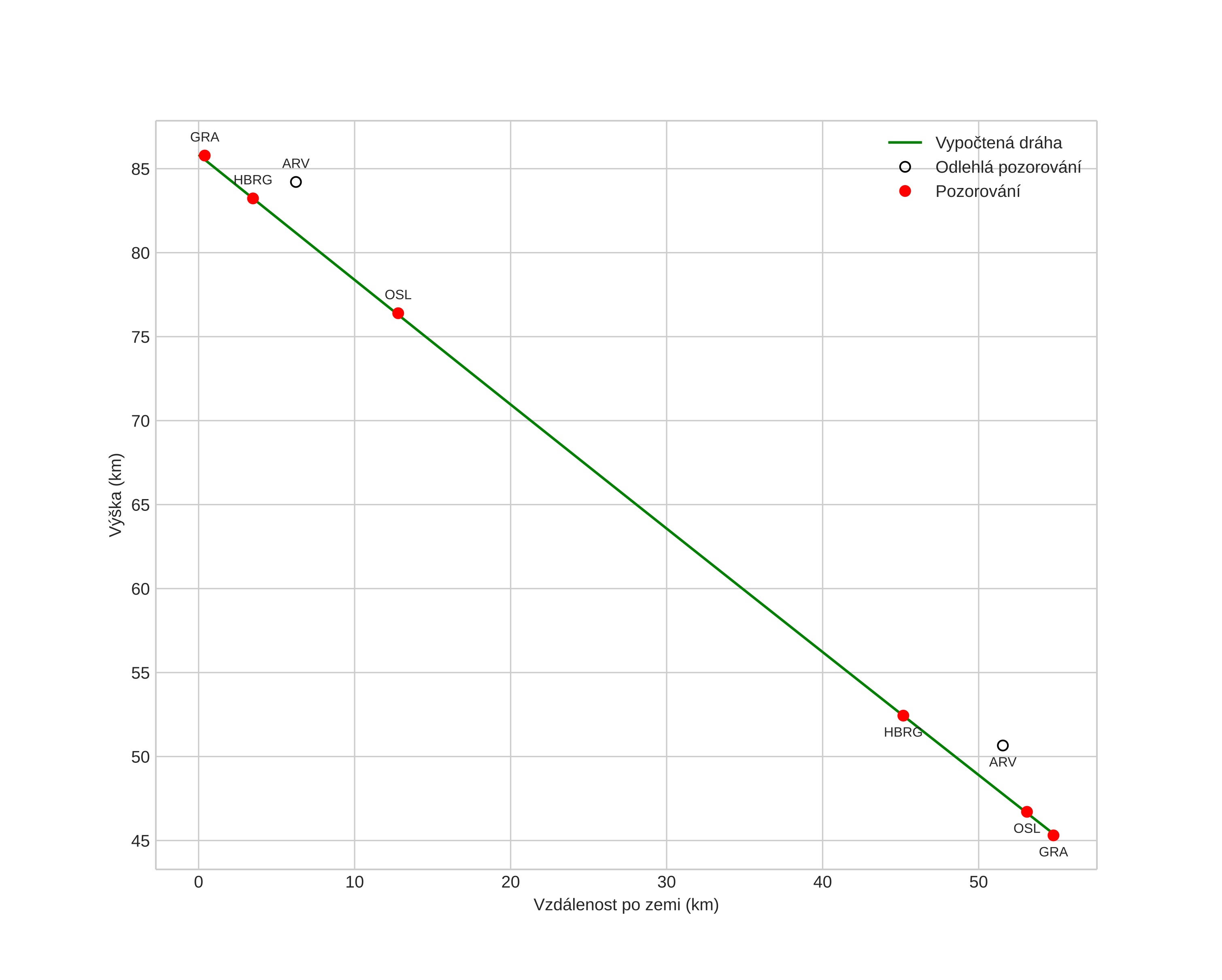
height profile
Atmosférická dráha meteoru:
Počáteční výška: 85,8 km
Konečná výška: 45,4 km
Počáteční poloha: 60,708N 10,691E
Konečná poloha: 61,194N 10,513E
Směr: 350,0°
Sklon: 36,4°
VstupnĂ­ rychlost: 28,2 km/s
Rektascenze radiantu: 12:28 (187,0°)
Deklinace radiantu: 5,0°
MeteorickĂ˝ roj: sporadickĂ˝
Elementy dráhy meteoroidu:
Vzdálenost v periheliu: 0,469 AU
Excentricita: 0,784
Sklon dráhy: 7,0°
Délka vzestupného uzlu: 358,3°
Argument perihelia: 281,7°
Střední anomálie: 346,2°
Epocha: 2017 MAR 18 23:28:24
orbit plot

NeinteraktivnĂ­ graf | InteraktivnĂ­ graf

position vs time
speed and acceleration