🇳🇴 🇬🇧 🇩🇪 🇨🇿 🇫🇮

Meteor Lillehammerin yllä 2017-03-18 23:28:24 UTC

KML-tiedosto  |  Interaktiivinen kartta

Kartta näyttää meteorin suuntahavainnot. Vaaleammat viivat näyttävät suunnat havaintoasemilta meteorin ilmestyessä, ja tummemmat viivat näyttävät, missä se viimeksi nähtiin. Sininen nuoli näyttää meteorin näkyvän lennon.

static map
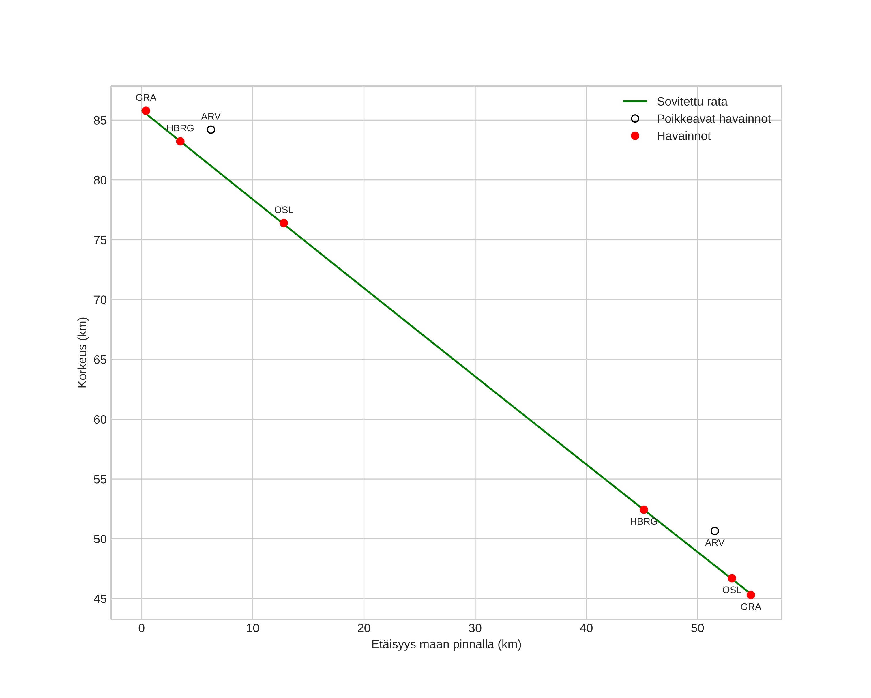
height profile
Meteorin ilmakehärata:
Alkukorkeus: 85,8 km
Loppukorkeus: 45,4 km
Alkupiste: 60,708N 10,691E
Loppupiste: 61,194N 10,513E
Suunta: 350,0°
Kallistuskulma: 36,4°
Tulonopeus: 28,2 km/s
Radiantin R,A,: 12:28 (187,0°)
Radiantin Dekl,: 5,0°
Meteoriparvi: Sporadinen
Meteoroidin rataelementit:
Perihelietäisyys: 0,469 AU
Eksentrisyys: 0,784
Inklinaatio: 7,0°
Nousevan solmun pituus: 358,3°
Perihelin argumentti: 281,7°
Keskianomalia: 346,2°
Epookki: 2017 MAR 18 23:28:24
orbit plot

Ei-interaktiivinen kuvaaja | Interaktiivinen kuvaaja

position vs time
speed and acceleration