🇳🇴 🇬🇧 🇩🇪 🇨🇿 🇫🇮

Meteor, poloha: Arvika 2017-03-23 02:08:57 UTC

Soubor KML  |  InteraktivnĂ­ mapa

Mapa zobrazuje dráhy meteoru. Světlejší čáry ukazují směry od pozorovacích stanic při objevení se meteoru a tmavší čáry, kde byl naposledy viděn. Modrá šipka značí viditelnou dráhu meteoru.

static map
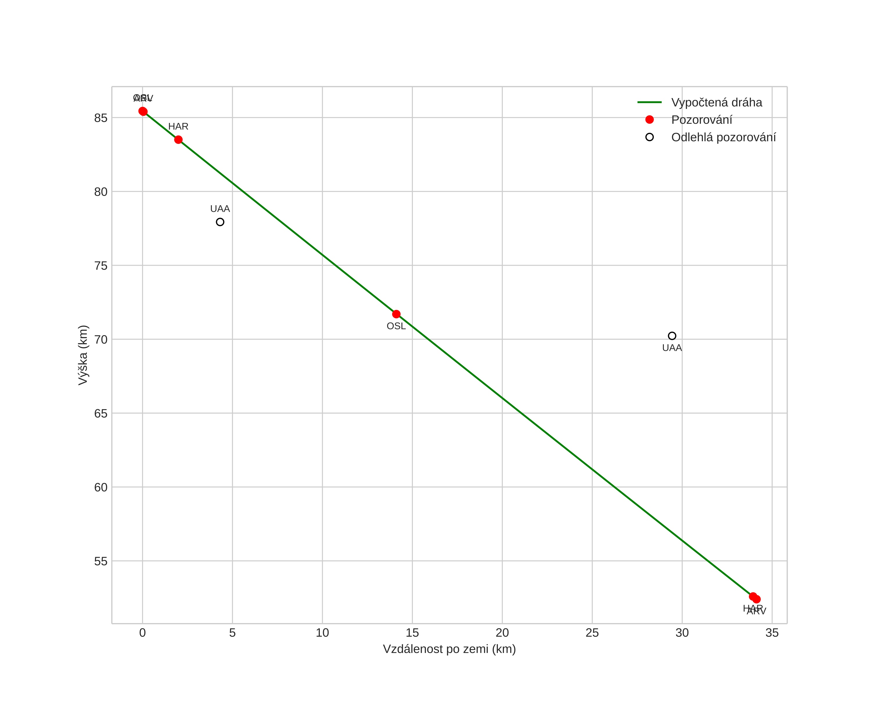
height profile
Atmosférická dráha meteoru:
Počáteční výška: 85,4 km
Konečná výška: 52,4 km
Počáteční poloha: 59,747N 12,149E
Konečná poloha: 59,511N 12,538E
Směr: 140,1°
Sklon: 44,0°
VstupnĂ­ rychlost: 14,6 km/s
Rektascenze radiantu: 07:15 (108,8°)
Deklinace radiantu: 52,5°
MeteorickĂ˝ roj: sporadickĂ˝
Elementy dráhy meteoroidu:
Vzdálenost v periheliu: 0,996 AU
Excentricita: 0,655
Sklon dráhy: 7,2°
Délka vzestupného uzlu: 2,4°
Argument perihelia: 183,9°
Střední anomálie: 359,4°
Epocha: 2017 MAR 23 02:08:57
orbit plot

NeinteraktivnĂ­ graf | InteraktivnĂ­ graf

position vs time
speed and acceleration