🇳🇴 🇬🇧 🇩🇪 🇨🇿 🇫🇮

Meteor Arvikan yllä 2017-03-23 02:08:57 UTC

KML-tiedosto  |  Interaktiivinen kartta

Kartta näyttää meteorin suuntahavainnot. Vaaleammat viivat näyttävät suunnat havaintoasemilta meteorin ilmestyessä, ja tummemmat viivat näyttävät, missä se viimeksi nähtiin. Sininen nuoli näyttää meteorin näkyvän lennon.

static map
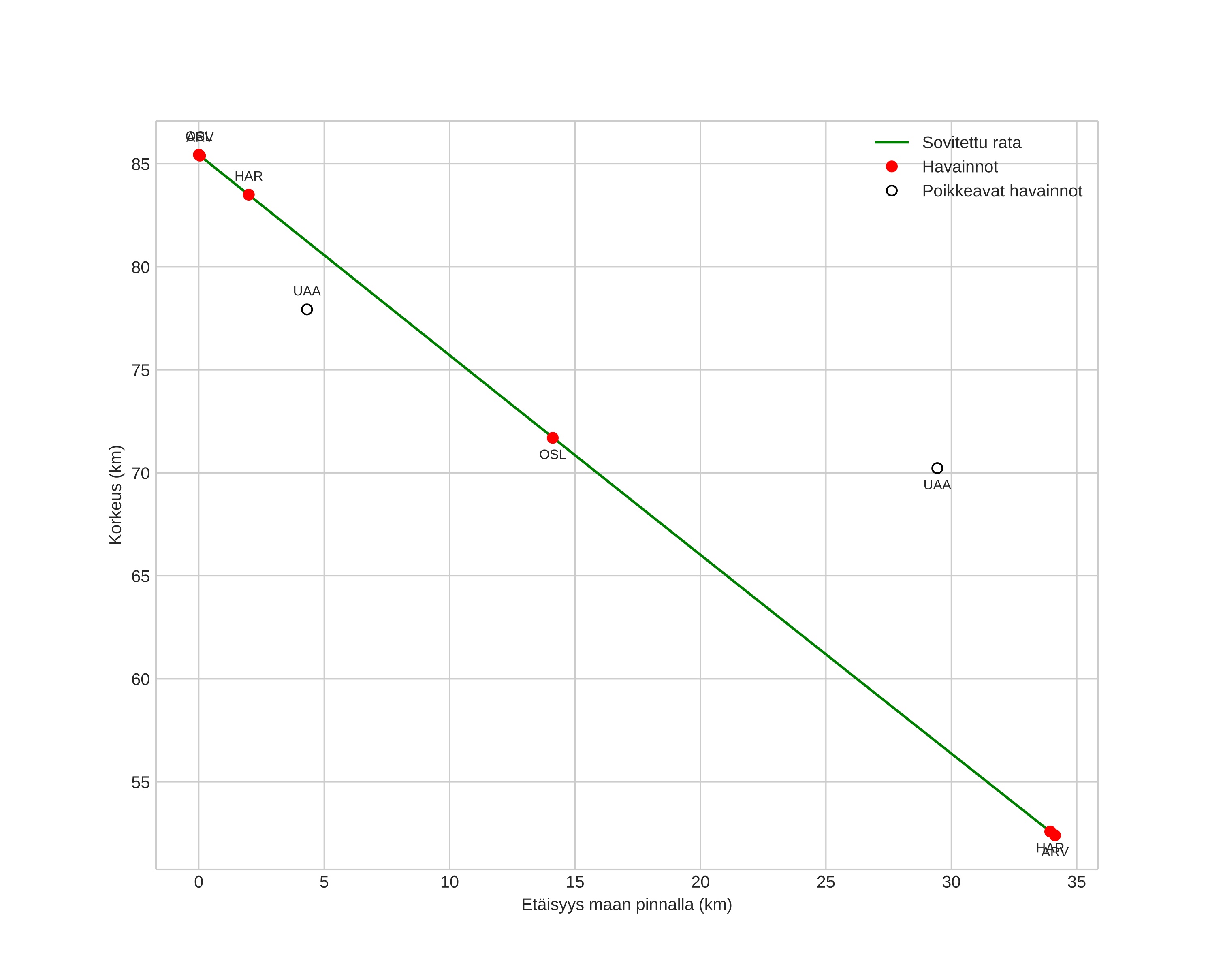
height profile
Meteorin ilmakehärata:
Alkukorkeus: 85,4 km
Loppukorkeus: 52,4 km
Alkupiste: 59,747N 12,149E
Loppupiste: 59,511N 12,538E
Suunta: 140,1°
Kallistuskulma: 44,0°
Tulonopeus: 14,6 km/s
Radiantin R,A,: 07:15 (108,8°)
Radiantin Dekl,: 52,5°
Meteoriparvi: Sporadinen
Meteoroidin rataelementit:
Perihelietäisyys: 0,996 AU
Eksentrisyys: 0,655
Inklinaatio: 7,2°
Nousevan solmun pituus: 2,4°
Perihelin argumentti: 183,9°
Keskianomalia: 359,4°
Epookki: 2017 MAR 23 02:08:57
orbit plot

Ei-interaktiivinen kuvaaja | Interaktiivinen kuvaaja

position vs time
speed and acceleration