🇳🇴 🇬🇧 🇩🇪 🇨🇿 🇫🇮

Meteor, poloha: Mandal 2017-03-27 00:21:34 UTC

Soubor KML  |  InteraktivnĂ­ mapa

Mapa zobrazuje dráhy meteoru. Světlejší čáry ukazují směry od pozorovacích stanic při objevení se meteoru a tmavší čáry, kde byl naposledy viděn. Modrá šipka značí viditelnou dráhu meteoru.

static map
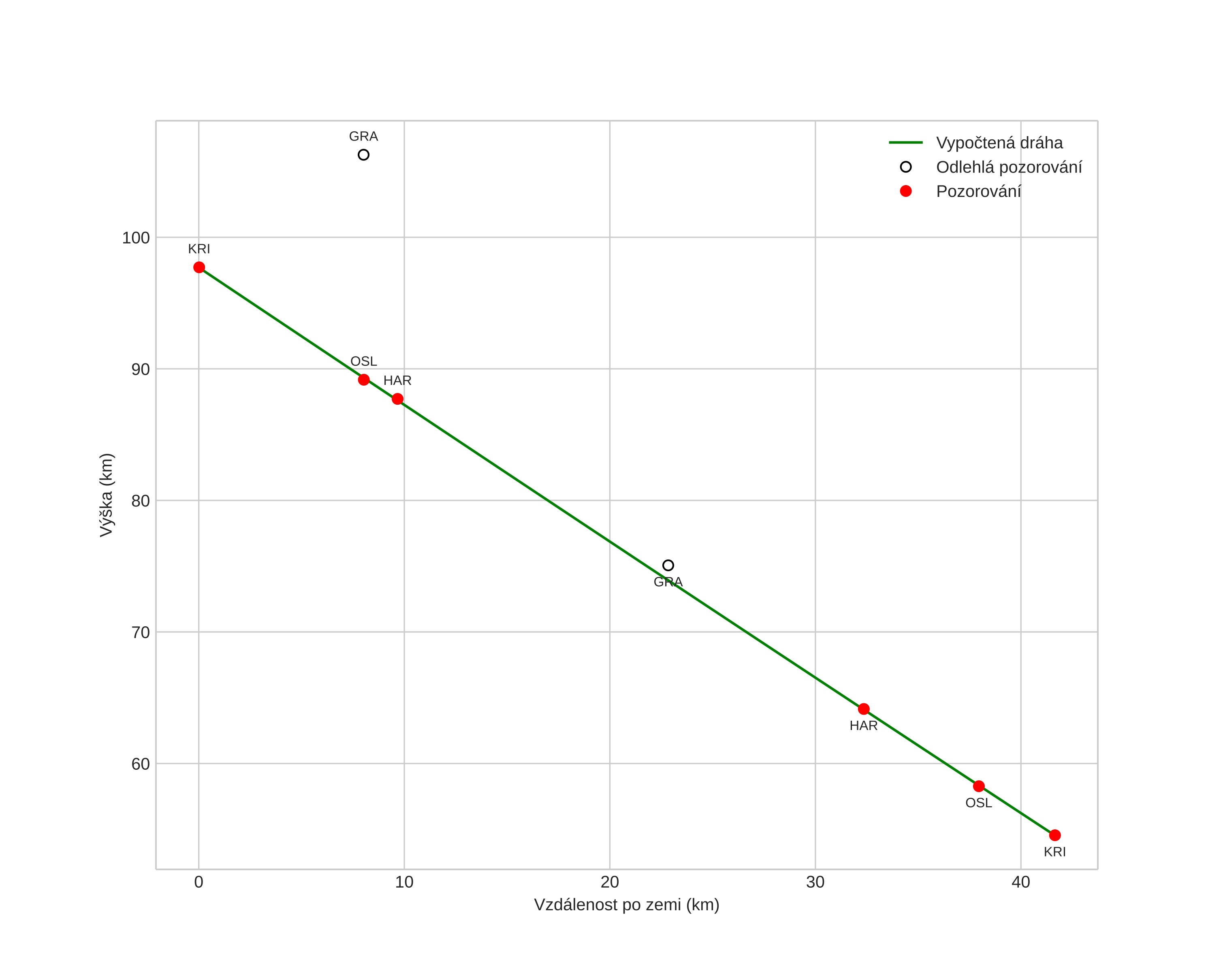
height profile
Atmosférická dráha meteoru:
Počáteční výška: 97,7 km
Konečná výška: 54,5 km
Počáteční poloha: 57,227N 7,171E
Konečná poloha: 57,578N 7,418E
Směr: 20,7°
Sklon: 46,0°
VstupnĂ­ rychlost: 23,6 km/s
Rektascenze radiantu: 12:04 (181,0°)
Deklinace radiantu: 11,9°
MeteorickĂ˝ roj: sporadickĂ˝
Elementy dráhy meteoroidu:
Vzdálenost v periheliu: 0,710 AU
Excentricita: 0,795
Sklon dráhy: 7,0°
Délka vzestupného uzlu: 6,3°
Argument perihelia: 249,6°
Střední anomálie: 353,8°
Epocha: 2017 MAR 27 00:21:34
orbit plot

NeinteraktivnĂ­ graf | InteraktivnĂ­ graf

position vs time
speed and acceleration