🇳🇴 🇬🇧 🇩🇪 🇨🇿 🇫🇮

Meteor Mandalin yllä 2017-03-27 00:21:34 UTC

KML-tiedosto  |  Interaktiivinen kartta

Kartta näyttää meteorin suuntahavainnot. Vaaleammat viivat näyttävät suunnat havaintoasemilta meteorin ilmestyessä, ja tummemmat viivat näyttävät, missä se viimeksi nähtiin. Sininen nuoli näyttää meteorin näkyvän lennon.

static map
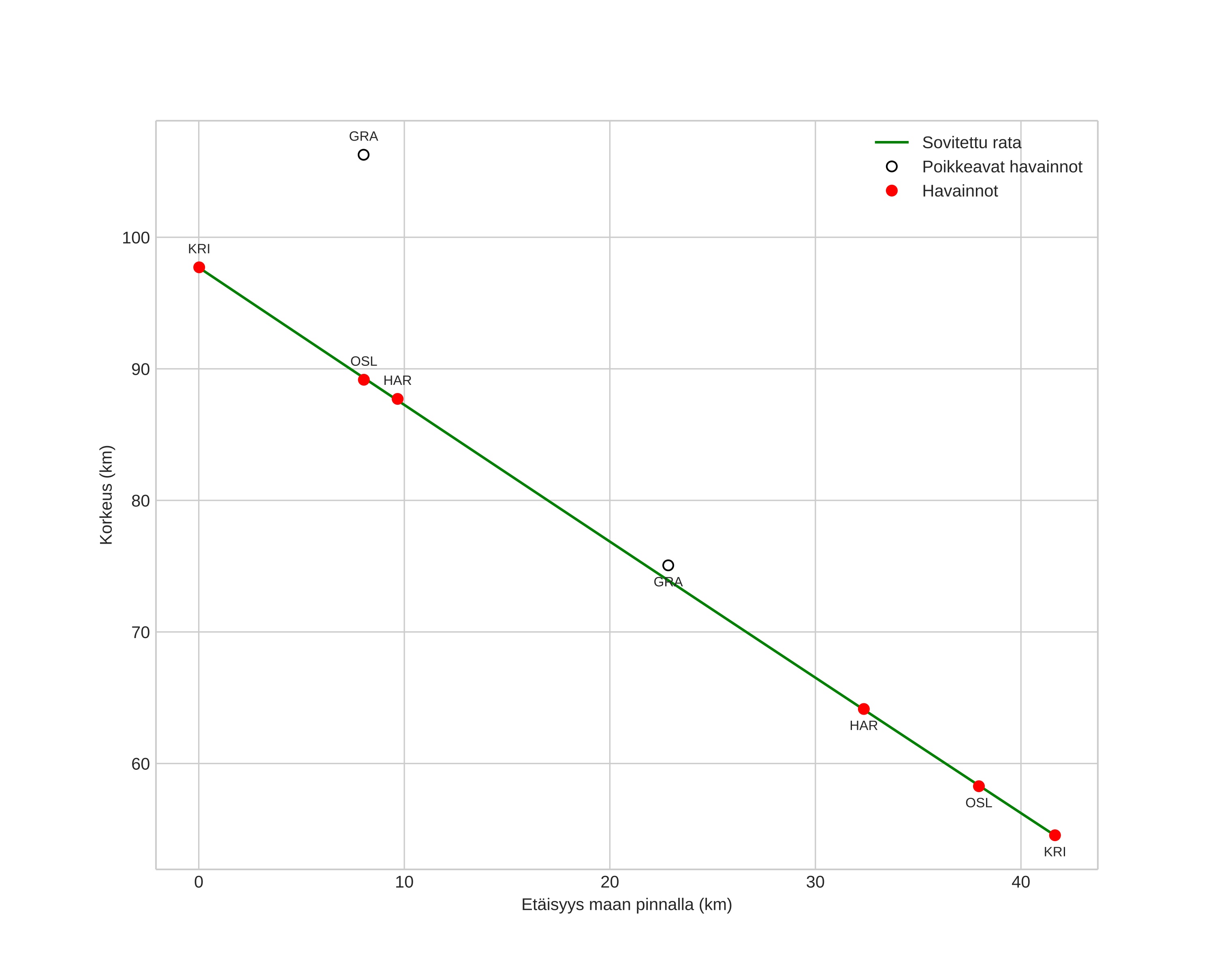
height profile
Meteorin ilmakehärata:
Alkukorkeus: 97,7 km
Loppukorkeus: 54,5 km
Alkupiste: 57,227N 7,171E
Loppupiste: 57,578N 7,418E
Suunta: 20,7°
Kallistuskulma: 46,0°
Tulonopeus: 23,6 km/s
Radiantin R,A,: 12:04 (181,0°)
Radiantin Dekl,: 11,9°
Meteoriparvi: Sporadinen
Meteoroidin rataelementit:
Perihelietäisyys: 0,710 AU
Eksentrisyys: 0,795
Inklinaatio: 7,0°
Nousevan solmun pituus: 6,3°
Perihelin argumentti: 249,6°
Keskianomalia: 353,8°
Epookki: 2017 MAR 27 00:21:34
orbit plot

Ei-interaktiivinen kuvaaja | Interaktiivinen kuvaaja

position vs time
speed and acceleration