🇳🇴 🇬🇧 🇩🇪 🇨🇿 🇫🇮

Meteor, poloha: Risør 2017-03-27 00:56:47 UTC

Soubor KML  |  InteraktivnĂ­ mapa

Mapa zobrazuje dráhy meteoru. Světlejší čáry ukazují směry od pozorovacích stanic při objevení se meteoru a tmavší čáry, kde byl naposledy viděn. Modrá šipka značí viditelnou dráhu meteoru.

static map
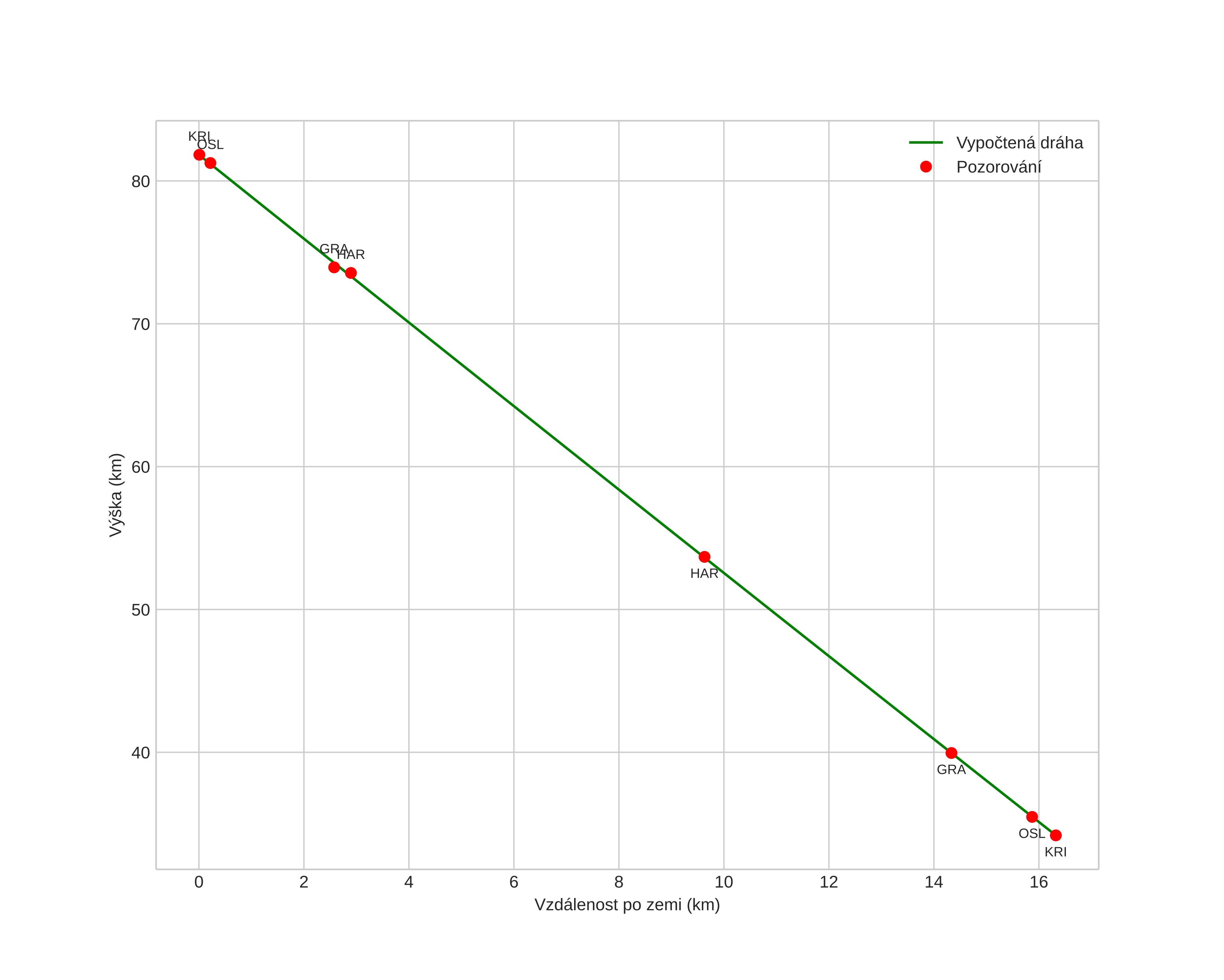
height profile
Atmosférická dráha meteoru:
Počáteční výška: 81,8 km
Konečná výška: 34,2 km
Počáteční poloha: 58,494N 9,095E
Konečná poloha: 58,487N 9,376E
Směr: 92,7°
Sklon: 71,1°
VstupnĂ­ rychlost: 16,4 km/s
Rektascenze radiantu: 11:12 (168,2°)
Deklinace radiantu: 52,7°
MeteorickĂ˝ roj: sporadickĂ˝
Elementy dráhy meteoroidu:
Vzdálenost v periheliu: 0,961 AU
Excentricita: 0,580
Sklon dráhy: 13,0°
Délka vzestupného uzlu: 6,3°
Argument perihelia: 205,8°
Střední anomálie: 354,3°
Epocha: 2017 MAR 27 00:56:47
orbit plot

NeinteraktivnĂ­ graf | InteraktivnĂ­ graf

position vs time
speed and acceleration