🇳🇴 🇬🇧 🇩🇪 🇨🇿 🇫🇮

Meteor Risørin yllä 2017-03-27 00:56:47 UTC

KML-tiedosto  |  Interaktiivinen kartta

Kartta näyttää meteorin suuntahavainnot. Vaaleammat viivat näyttävät suunnat havaintoasemilta meteorin ilmestyessä, ja tummemmat viivat näyttävät, missä se viimeksi nähtiin. Sininen nuoli näyttää meteorin näkyvän lennon.

static map
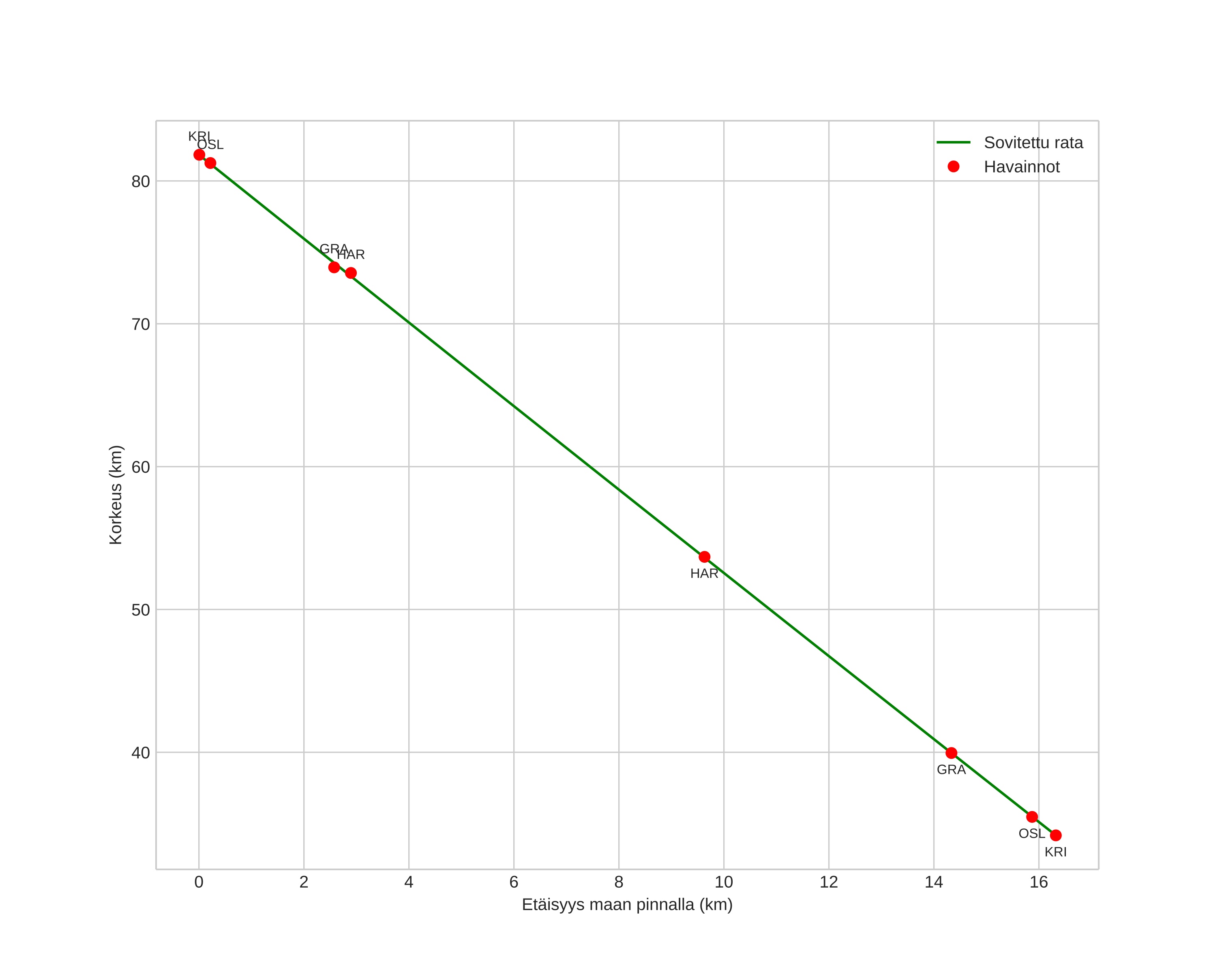
height profile
Meteorin ilmakehärata:
Alkukorkeus: 81,8 km
Loppukorkeus: 34,2 km
Alkupiste: 58,494N 9,095E
Loppupiste: 58,487N 9,376E
Suunta: 92,7°
Kallistuskulma: 71,1°
Tulonopeus: 16,4 km/s
Radiantin R,A,: 11:12 (168,2°)
Radiantin Dekl,: 52,7°
Meteoriparvi: Sporadinen
Meteoroidin rataelementit:
Perihelietäisyys: 0,961 AU
Eksentrisyys: 0,580
Inklinaatio: 13,0°
Nousevan solmun pituus: 6,3°
Perihelin argumentti: 205,8°
Keskianomalia: 354,3°
Epookki: 2017 MAR 27 00:56:47
orbit plot

Ei-interaktiivinen kuvaaja | Interaktiivinen kuvaaja

position vs time
speed and acceleration