🇳🇴 🇬🇧 🇩🇪 🇨🇿 🇫🇮

Meteor, poloha: Utsira 2017-04-05 21:12:53 UTC

Harestua – 1
Harestua – 1
Voksenlia – 1
Voksenlia – 1

Soubor KML  | Interaktivní mapa

map

Mapa zobrazuje dráhy meteoru. Světlejší čáry ukazují směry od pozorovacích stanic při objevení se meteoru a tmavší čáry, kde byl naposledy viděn. Modrá šipka značí viditelnou dráhu meteoru.

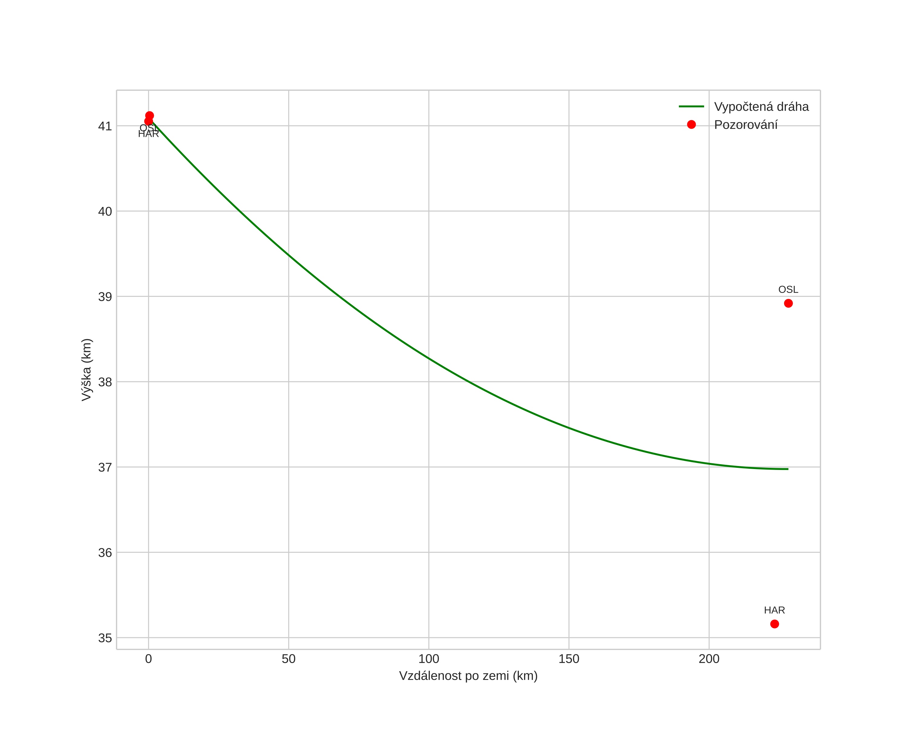
height profile
Atmosférická dráha meteoru:
Počáteční výška: 37,0 km
Konečná výška: 41,1 km
Počáteční poloha: 58,871N 5,874E
Konečná poloha: 57,482N 3,006E
Směr: 228,7°
Sklon: -1,0°
Vstupní rychlost: 50,3 km/s
Rektascenze radiantu: 19:05 (286,4°)
Deklinace radiantu: 17,7°
Meteorický roj: sporadický
Elementy dráhy meteoroidu:
Vzdálenost v periheliu: 0,967 AU
Excentricita: 0,217
Sklon dráhy: 103,5°
Délka vzestupného uzlu: 16,0°
Argument perihelia: 144,3°
Střední anomálie: 22,9°
Epocha: 2017 APR 05 21:12:53
orbit

Neinteraktivní graf | Interaktivní graf

position vs time
speed & acceleration