🇳🇴 🇬🇧 🇩🇪 🇨🇿 🇫🇮

Meteor über Utsira 2017-04-05 21:12:53 UTC

Harestua – 1
Harestua – 1
Voksenlia – 1
Voksenlia – 1

KML-Datei  | Interaktive Karte

map

Die Karte zeigt die Peilungen für den Meteor. Die helleren Linien zeigen die Richtungen von den Beobachtungsorten beim Erscheinen des Meteors, und die dunkleren Linien, wo er zuletzt gesehen wurde. Der blaue Pfeil zeigt die sichtbare Bahn des Meteors.

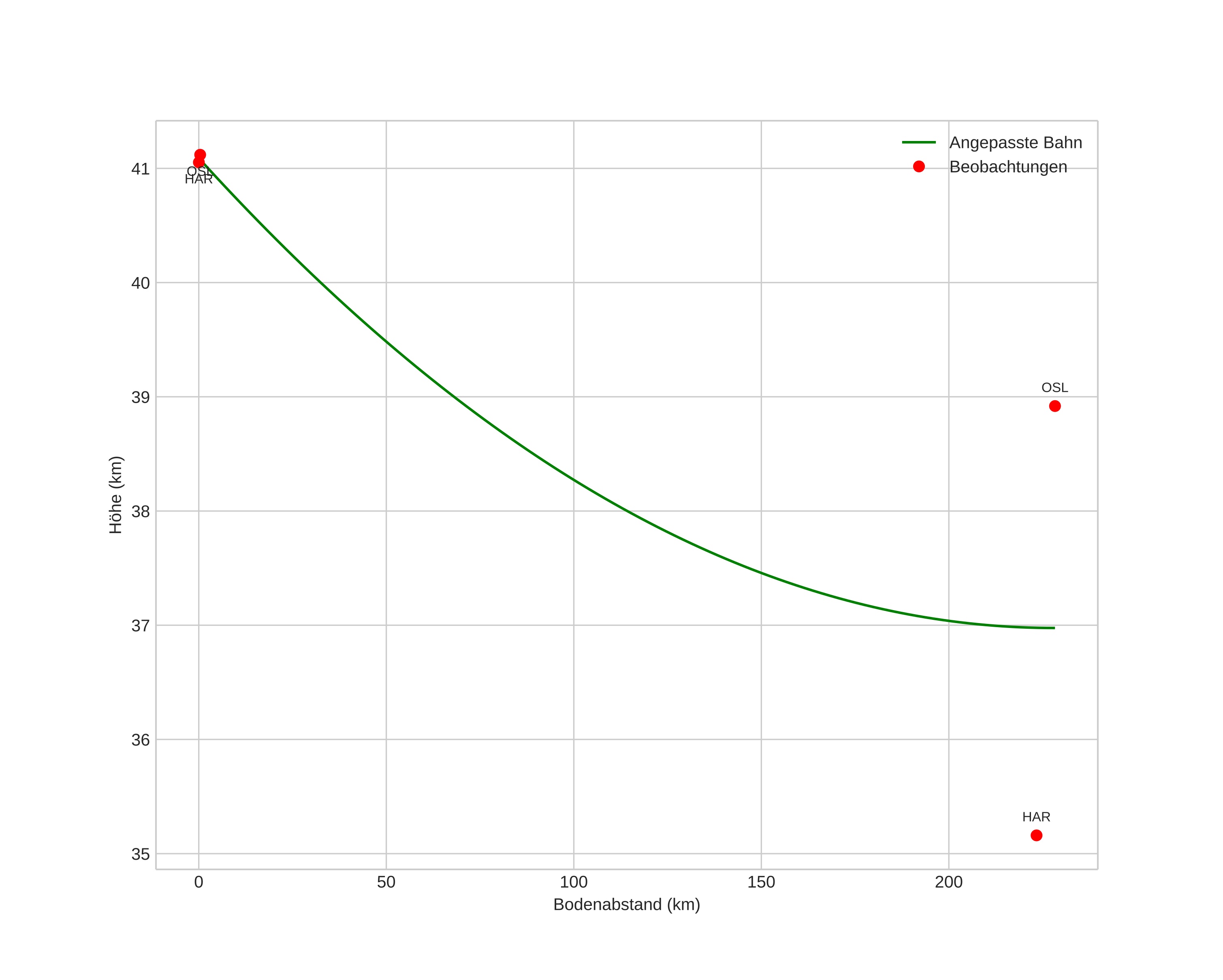
height profile
Atmosphärische Bahn des Meteors:
Anfangshöhe: 37,0 km
Endhöhe: 41,1 km
Startposition: 58,871N 5,874E
Endposition: 57,482N 3,006E
Richtung: 228,7°
Neigungswinkel: -1,0°
Eintrittsgeschwindigkeit: 50,3 km/s
Rektaszension des Radianten: 19:05 (286,4°)
Deklination des Radianten: 17,7°
Meteorstrom: sporadisch
Bahnelemente des Meteoroiden:
Periheldistanz: 0,967 AU
Exzentrizität: 0,217
Inklination: 103,5°
Länge des aufsteigenden Knotens: 16,0°
Argument des Perihels: 144,3°
Mittlere Anomalie: 22,9°
Epoche: 2017 APR 05 21:12:53
orbit

Nicht-interaktives Diagramm | Interaktives Diagramm

position vs time
speed & acceleration