🇳🇴 🇬🇧 🇩🇪 🇨🇿 🇫🇮

Meteor, poloha: Koppang 2017-04-10 20:57:26 UTC

Soubor KML  |  InteraktivnĂ­ mapa

Mapa zobrazuje dráhy meteoru. Světlejší čáry ukazují směry od pozorovacích stanic při objevení se meteoru a tmavší čáry, kde byl naposledy viděn. Modrá šipka značí viditelnou dráhu meteoru.

static map
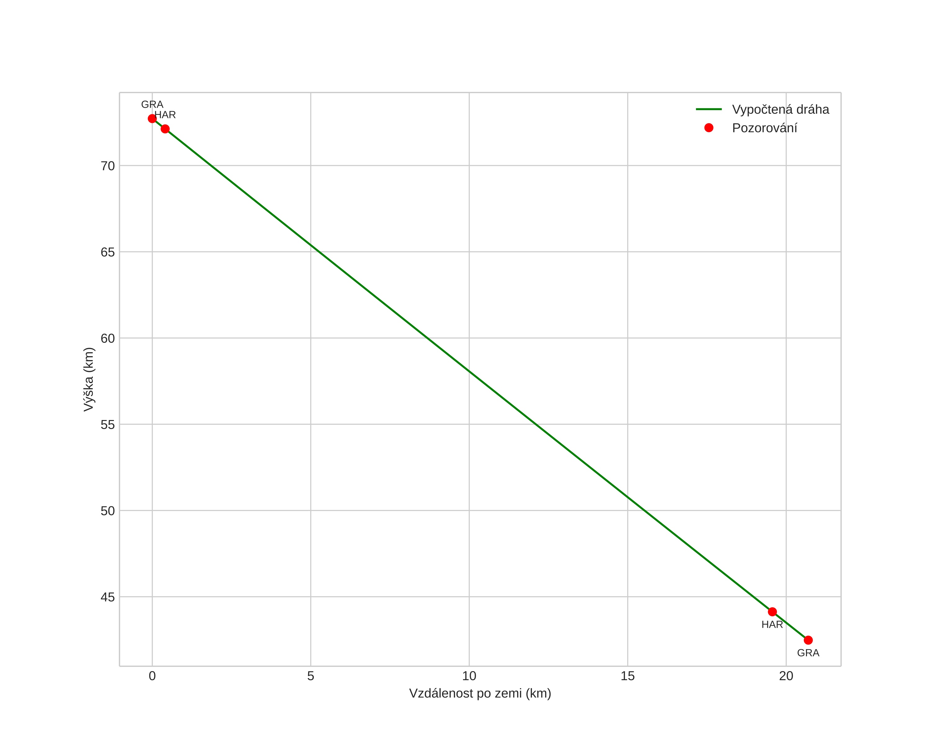
height profile
Atmosférická dráha meteoru:
Počáteční výška: 72,7 km
Konečná výška: 42,5 km
Počáteční poloha: 61,441N 10,703E
Konečná poloha: 61,396N 11,081E
Směr: 103,8°
Sklon: 55,6°
VstupnĂ­ rychlost: 13,5 km/s
Rektascenze radiantu: 06:00 (90,0°)
Deklinace radiantu: 44,5°
MeteorickĂ˝ roj: sporadickĂ˝
Elementy dráhy meteoroidu:
Vzdálenost v periheliu: 0,992 AU
Excentricita: 0,539
Sklon dráhy: 4,4°
Délka vzestupného uzlu: 21,0°
Argument perihelia: 166,0°
Střední anomálie: 3,5°
Epocha: 2017 APR 10 20:57:26
orbit plot

NeinteraktivnĂ­ graf | InteraktivnĂ­ graf

position vs time
speed and acceleration