🇳🇴 🇬🇧 🇩🇪 🇨🇿 🇫🇮

Meteor Koppangin yllä 2017-04-10 20:57:26 UTC

KML-tiedosto  |  Interaktiivinen kartta

Kartta näyttää meteorin suuntahavainnot. Vaaleammat viivat näyttävät suunnat havaintoasemilta meteorin ilmestyessä, ja tummemmat viivat näyttävät, missä se viimeksi nähtiin. Sininen nuoli näyttää meteorin näkyvän lennon.

static map
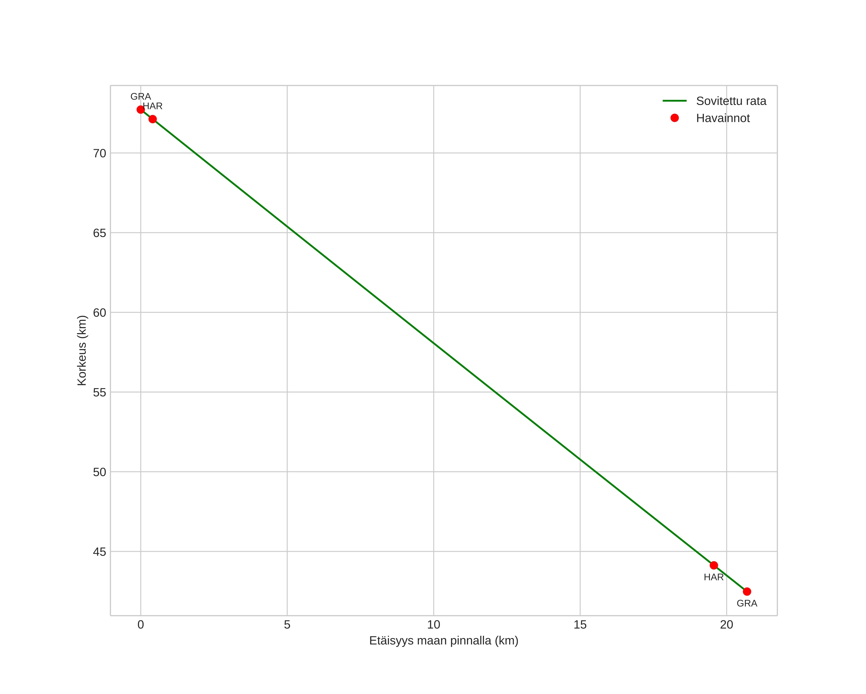
height profile
Meteorin ilmakehärata:
Alkukorkeus: 72,7 km
Loppukorkeus: 42,5 km
Alkupiste: 61,441N 10,703E
Loppupiste: 61,396N 11,081E
Suunta: 103,8°
Kallistuskulma: 55,6°
Tulonopeus: 13,5 km/s
Radiantin R,A,: 06:00 (90,0°)
Radiantin Dekl,: 44,5°
Meteoriparvi: Sporadinen
Meteoroidin rataelementit:
Perihelietäisyys: 0,992 AU
Eksentrisyys: 0,539
Inklinaatio: 4,4°
Nousevan solmun pituus: 21,0°
Perihelin argumentti: 166,0°
Keskianomalia: 3,5°
Epookki: 2017 APR 10 20:57:26
orbit plot

Ei-interaktiivinen kuvaaja | Interaktiivinen kuvaaja

position vs time
speed and acceleration