🇳🇴 🇬🇧 🇩🇪 🇨🇿 🇫🇮

Meteor, poloha: Arendal 2017-04-18 22:09:58 UTC

Soubor KML  |  InteraktivnĂ­ mapa

Mapa zobrazuje dráhy meteoru. Světlejší čáry ukazují směry od pozorovacích stanic při objevení se meteoru a tmavší čáry, kde byl naposledy viděn. Modrá šipka značí viditelnou dráhu meteoru.

static map
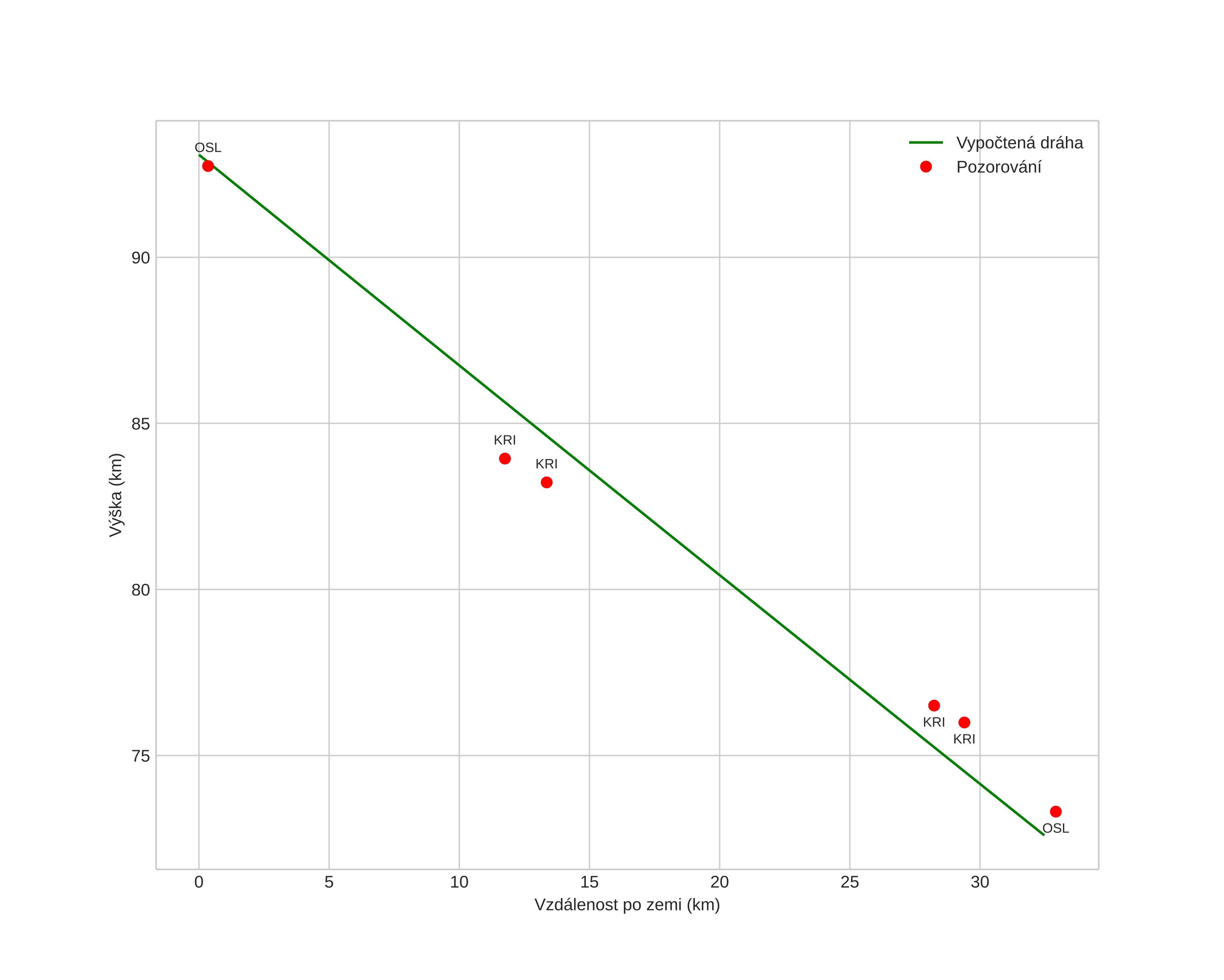
height profile
Atmosférická dráha meteoru:
Počáteční výška: 93,1 km
Konečná výška: 72,6 km
Počáteční poloha: 57,952N 8,957E
Konečná poloha: 58,241N 9,037E
Směr: 8,3°
Sklon: 32,3°
VstupnĂ­ rychlost: 17,6 km/s
Rektascenze radiantu: 11:59 (179,9°)
Deklinace radiantu: -7,3°
MeteorickĂ˝ roj: sporadickĂ˝
Elementy dráhy meteoroidu:
Vzdálenost v periheliu: 0,878 AU
Excentricita: 0,646
Sklon dráhy: 2,6°
Délka vzestupného uzlu: 208,8°
Argument perihelia: 47,3°
Střední anomálie: 351,5°
Epocha: 2017 APR 18 22:09:58
orbit plot

NeinteraktivnĂ­ graf | InteraktivnĂ­ graf

position vs time
speed and acceleration