🇳🇴 🇬🇧 🇩🇪 🇨🇿 🇫🇮

Meteor Arendalin yllä 2017-04-18 22:09:58 UTC

KML-tiedosto  |  Interaktiivinen kartta

Kartta näyttää meteorin suuntahavainnot. Vaaleammat viivat näyttävät suunnat havaintoasemilta meteorin ilmestyessä, ja tummemmat viivat näyttävät, missä se viimeksi nähtiin. Sininen nuoli näyttää meteorin näkyvän lennon.

static map
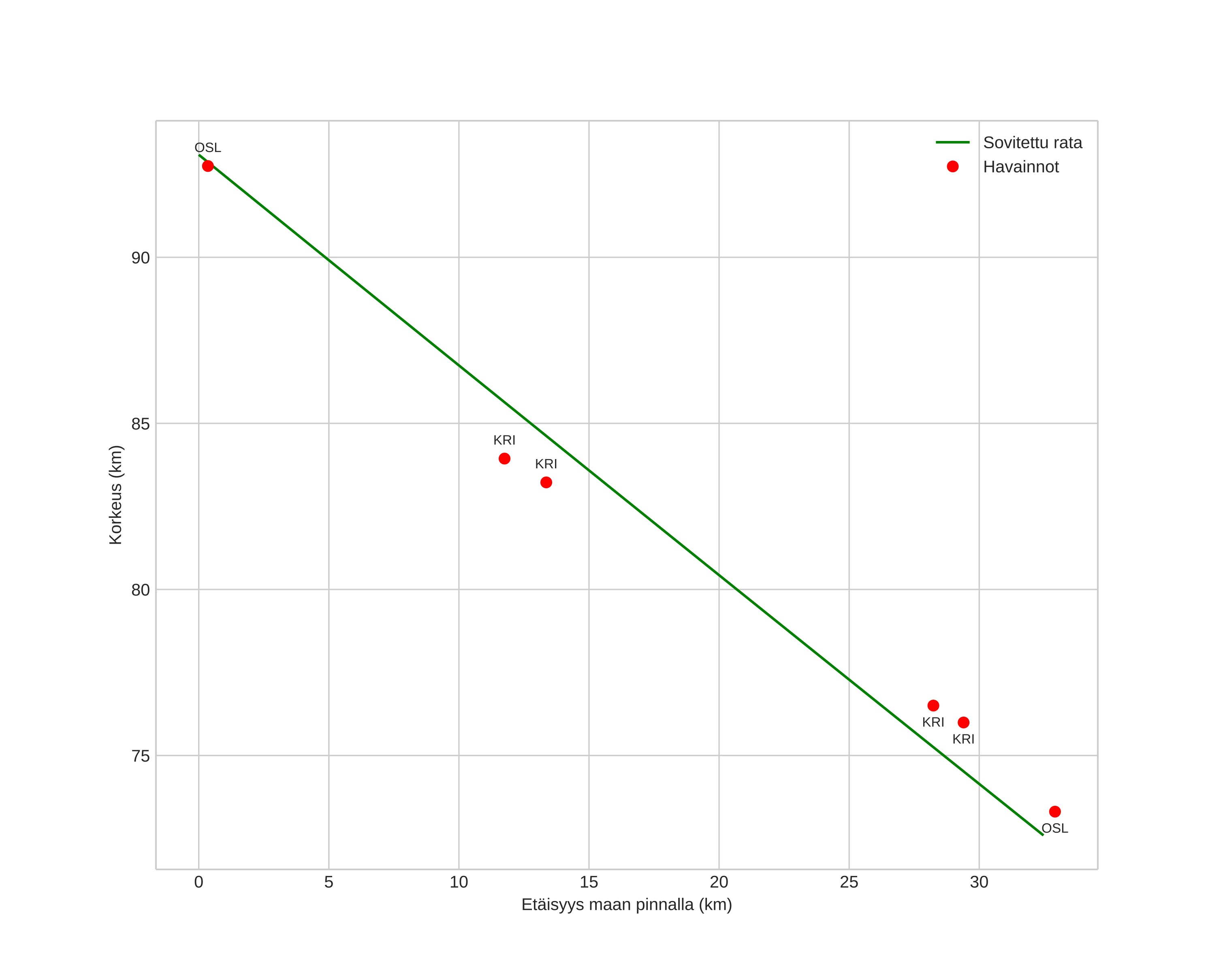
height profile
Meteorin ilmakehärata:
Alkukorkeus: 93,1 km
Loppukorkeus: 72,6 km
Alkupiste: 57,952N 8,957E
Loppupiste: 58,241N 9,037E
Suunta: 8,3°
Kallistuskulma: 32,3°
Tulonopeus: 17,6 km/s
Radiantin R,A,: 11:59 (179,9°)
Radiantin Dekl,: -7,3°
Meteoriparvi: Sporadinen
Meteoroidin rataelementit:
Perihelietäisyys: 0,878 AU
Eksentrisyys: 0,646
Inklinaatio: 2,6°
Nousevan solmun pituus: 208,8°
Perihelin argumentti: 47,3°
Keskianomalia: 351,5°
Epookki: 2017 APR 18 22:09:58
orbit plot

Ei-interaktiivinen kuvaaja | Interaktiivinen kuvaaja

position vs time
speed and acceleration