🇳🇴 🇬🇧 🇩🇪 🇨🇿 🇫🇮

Meteor, poloha: Hanstholm 2017-04-18 23:50:21 UTC

Soubor KML  |  InteraktivnĂ­ mapa

Mapa zobrazuje dráhy meteoru. Světlejší čáry ukazují směry od pozorovacích stanic při objevení se meteoru a tmavší čáry, kde byl naposledy viděn. Modrá šipka značí viditelnou dráhu meteoru.

static map
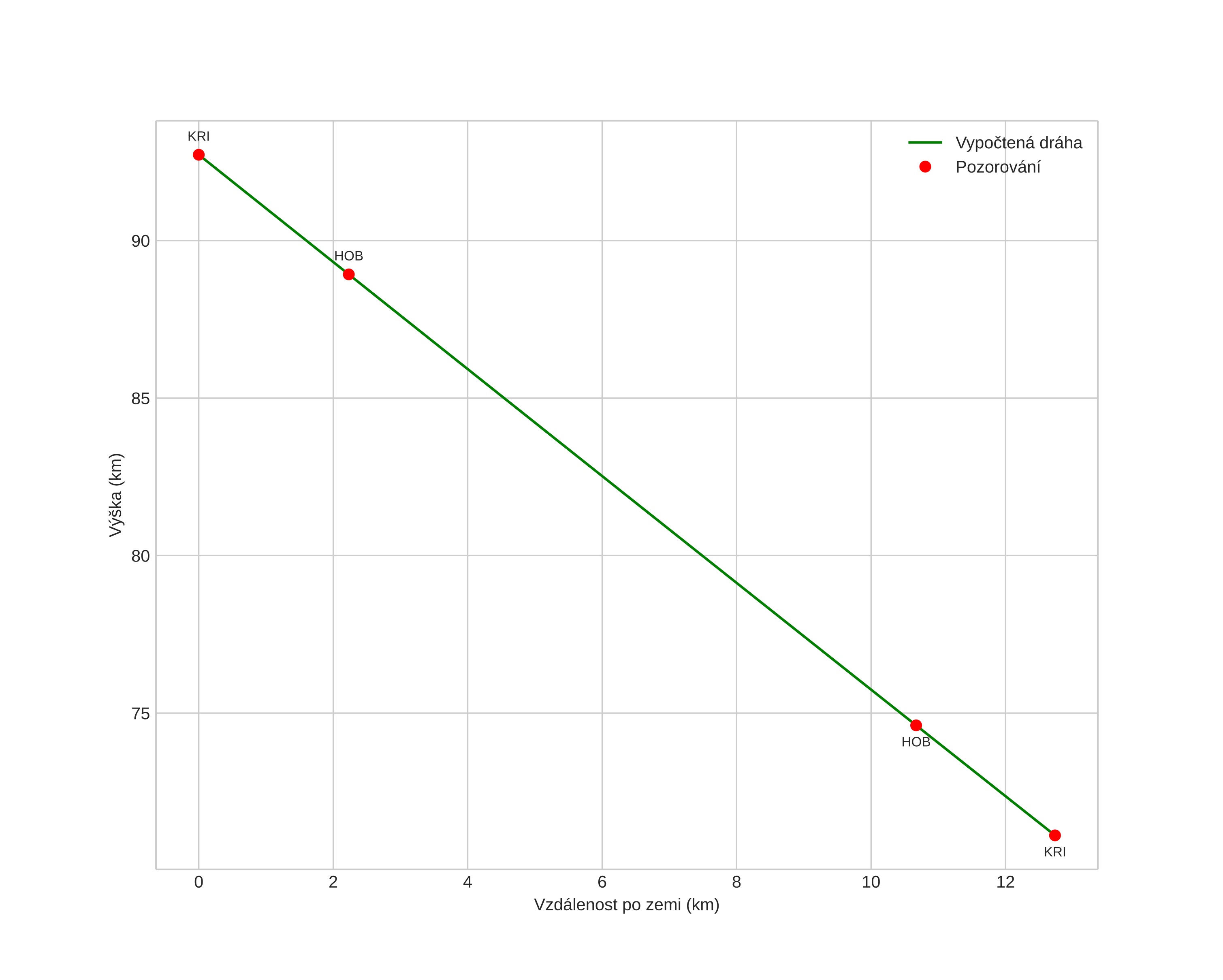
height profile
Atmosférická dráha meteoru:
Počáteční výška: 92,7 km
Konečná výška: 71,1 km
Počáteční poloha: 57,477N 8,462E
Konečná poloha: 57,363N 8,488E
Směr: 173,1°
Sklon: 59,5°
VstupnĂ­ rychlost: 18,3 km/s
Rektascenze radiantu: 07:09 (107,3°)
Deklinace radiantu: 85,1°
MeteorickĂ˝ roj: sporadickĂ˝
Elementy dráhy meteoroidu:
Vzdálenost v periheliu: 0,994 AU
Excentricita: 0,660
Sklon dráhy: 19,7°
Délka vzestupného uzlu: 28,9°
Argument perihelia: 166,8°
Střední anomálie: 2,0°
Epocha: 2017 APR 18 23:50:21
orbit plot

NeinteraktivnĂ­ graf | InteraktivnĂ­ graf

position vs time
speed and acceleration