🇳🇴 🇬🇧 🇩🇪 🇨🇿 🇫🇮

Meteor Hanstholmin yllä 2017-04-18 23:50:21 UTC

KML-tiedosto  |  Interaktiivinen kartta

Kartta näyttää meteorin suuntahavainnot. Vaaleammat viivat näyttävät suunnat havaintoasemilta meteorin ilmestyessä, ja tummemmat viivat näyttävät, missä se viimeksi nähtiin. Sininen nuoli näyttää meteorin näkyvän lennon.

static map
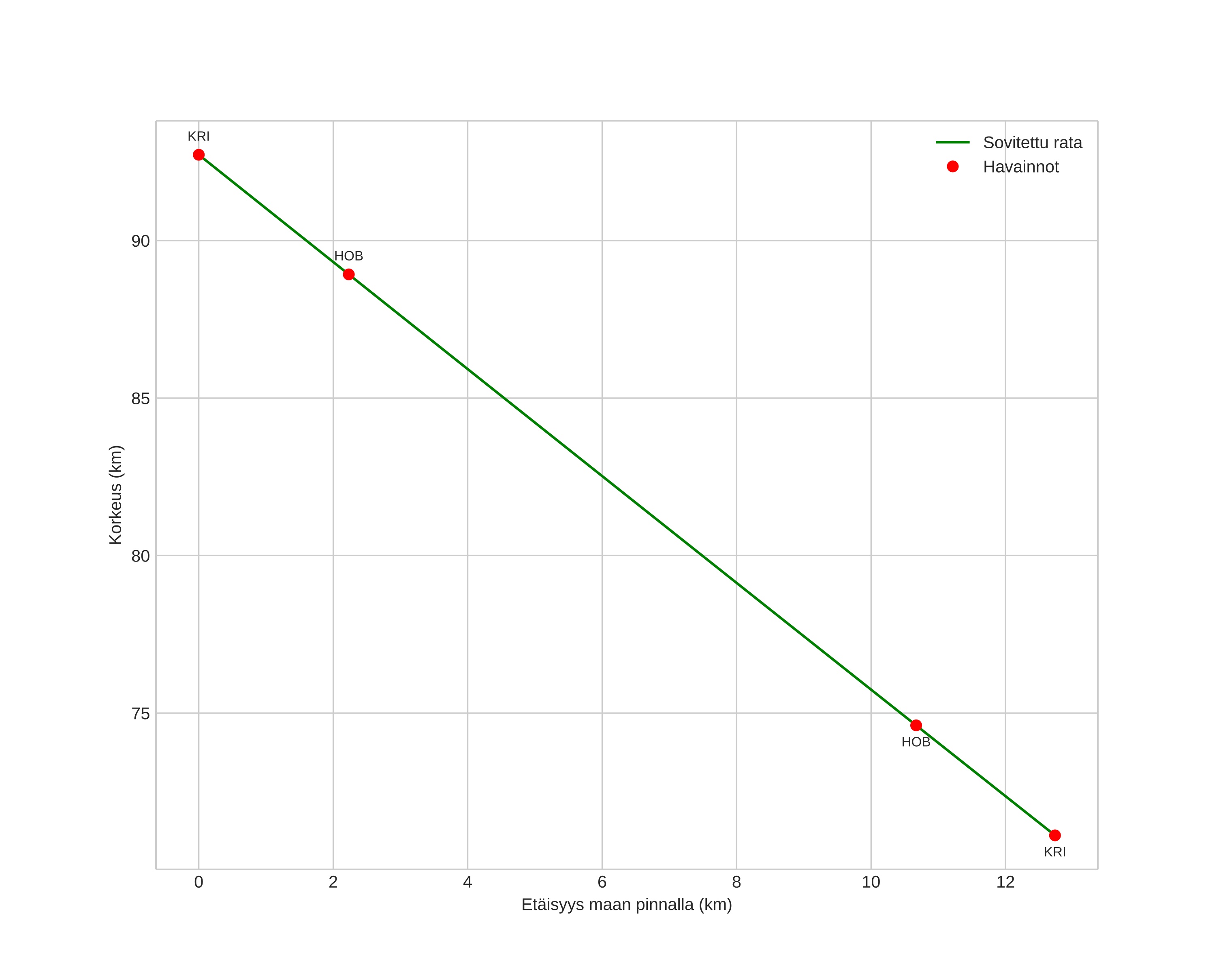
height profile
Meteorin ilmakehärata:
Alkukorkeus: 92,7 km
Loppukorkeus: 71,1 km
Alkupiste: 57,477N 8,462E
Loppupiste: 57,363N 8,488E
Suunta: 173,1°
Kallistuskulma: 59,5°
Tulonopeus: 18,3 km/s
Radiantin R,A,: 07:09 (107,3°)
Radiantin Dekl,: 85,1°
Meteoriparvi: Sporadinen
Meteoroidin rataelementit:
Perihelietäisyys: 0,994 AU
Eksentrisyys: 0,660
Inklinaatio: 19,7°
Nousevan solmun pituus: 28,9°
Perihelin argumentti: 166,8°
Keskianomalia: 2,0°
Epookki: 2017 APR 18 23:50:21
orbit plot

Ei-interaktiivinen kuvaaja | Interaktiivinen kuvaaja

position vs time
speed and acceleration