🇳🇴 🇬🇧 🇩🇪 🇨🇿 🇫🇮

Meteor, poloha: Sunne 2017-04-22 20:51:15 UTC

Soubor KML  |  InteraktivnĂ­ mapa

Mapa zobrazuje dráhy meteoru. Světlejší čáry ukazují směry od pozorovacích stanic při objevení se meteoru a tmavší čáry, kde byl naposledy viděn. Modrá šipka značí viditelnou dráhu meteoru.

static map
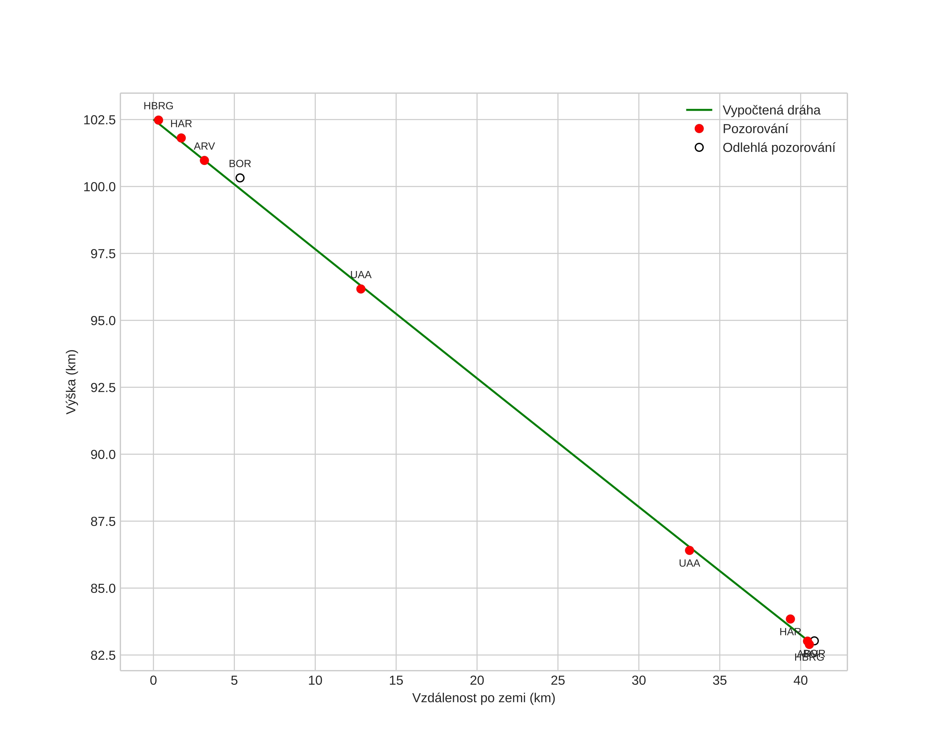
height profile
Atmosférická dráha meteoru:
Počáteční výška: 102,5 km
Konečná výška: 83,0 km
Počáteční poloha: 59,925N 13,631E
Konečná poloha: 59,780N 12,964E
Směr: 246,9°
Sklon: 25,7°
VstupnĂ­ rychlost: 48,1 km/s
Rektascenze radiantu: 18:16 (274,0°)
Deklinace radiantu: 32,8°
MeteorickĂ˝ roj: Lyridy
Elementy dráhy meteoroidu:
Vzdálenost v periheliu: 0,926 AU
Excentricita: 0,895
Sklon dráhy: 80,6°
Délka vzestupného uzlu: 32,7°
Argument perihelia: 213,6°
Střední anomálie: 359,1°
Epocha: 2017 APR 22 20:51:15
orbit plot

NeinteraktivnĂ­ graf | InteraktivnĂ­ graf

position vs time
speed and acceleration