🇳🇴 🇬🇧 🇩🇪 🇨🇿 🇫🇮

Meteor Sunnen yllä 2017-04-22 20:51:15 UTC

KML-tiedosto  |  Interaktiivinen kartta

Kartta näyttää meteorin suuntahavainnot. Vaaleammat viivat näyttävät suunnat havaintoasemilta meteorin ilmestyessä, ja tummemmat viivat näyttävät, missä se viimeksi nähtiin. Sininen nuoli näyttää meteorin näkyvän lennon.

static map
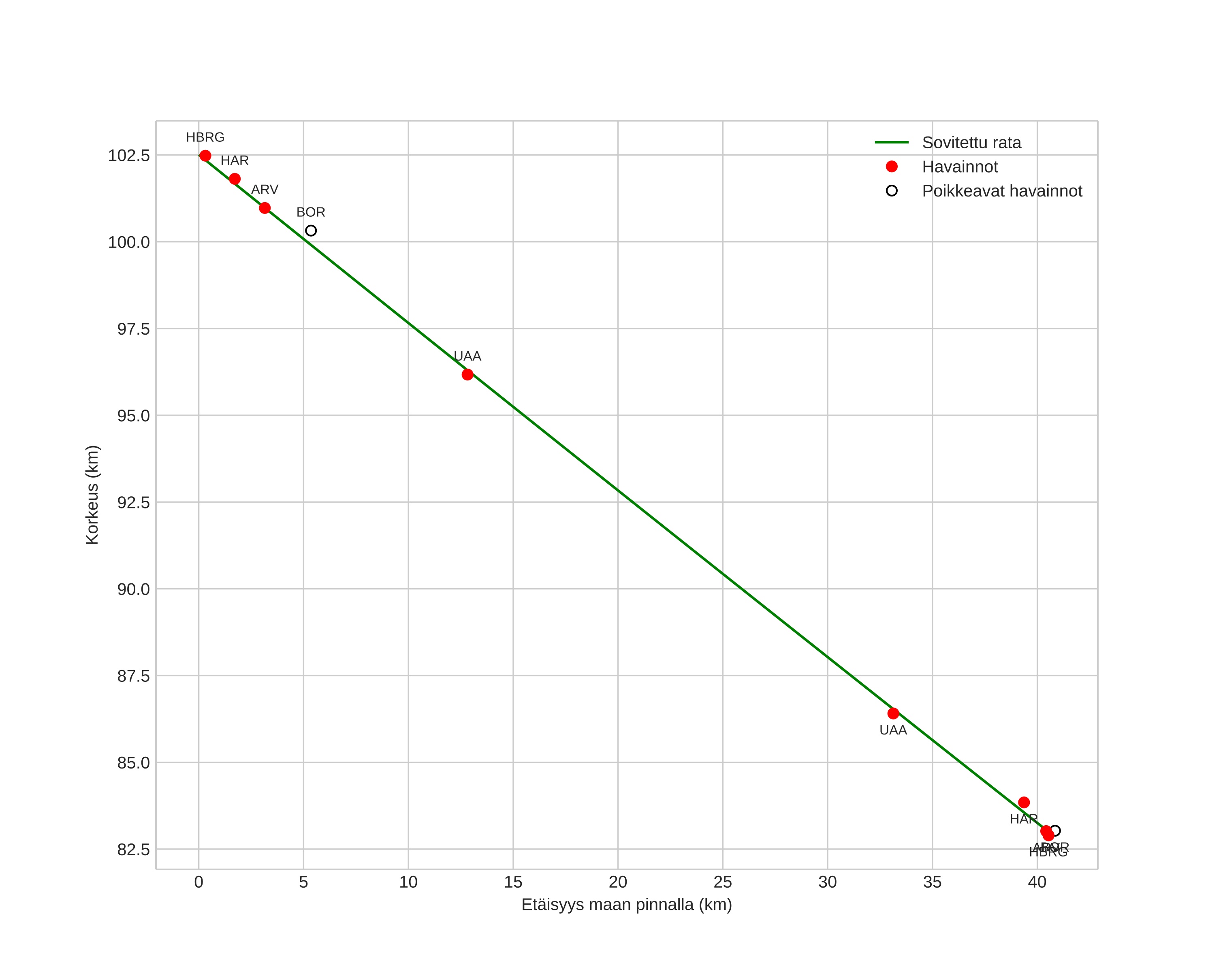
height profile
Meteorin ilmakehärata:
Alkukorkeus: 102,5 km
Loppukorkeus: 83,0 km
Alkupiste: 59,925N 13,631E
Loppupiste: 59,780N 12,964E
Suunta: 246,9°
Kallistuskulma: 25,7°
Tulonopeus: 48,1 km/s
Radiantin R,A,: 18:16 (274,0°)
Radiantin Dekl,: 32,8°
Meteoriparvi: Lyridit
Meteoroidin rataelementit:
Perihelietäisyys: 0,926 AU
Eksentrisyys: 0,895
Inklinaatio: 80,6°
Nousevan solmun pituus: 32,7°
Perihelin argumentti: 213,6°
Keskianomalia: 359,1°
Epookki: 2017 APR 22 20:51:15
orbit plot

Ei-interaktiivinen kuvaaja | Interaktiivinen kuvaaja

position vs time
speed and acceleration