🇳🇴 🇬🇧 🇩🇪 🇨🇿 🇫🇮

Meteor, poloha: Ă…ros 2017-04-22 23:26:25 UTC

Soubor KML  |  InteraktivnĂ­ mapa

Mapa zobrazuje dráhy meteoru. Světlejší čáry ukazují směry od pozorovacích stanic při objevení se meteoru a tmavší čáry, kde byl naposledy viděn. Modrá šipka značí viditelnou dráhu meteoru.

static map
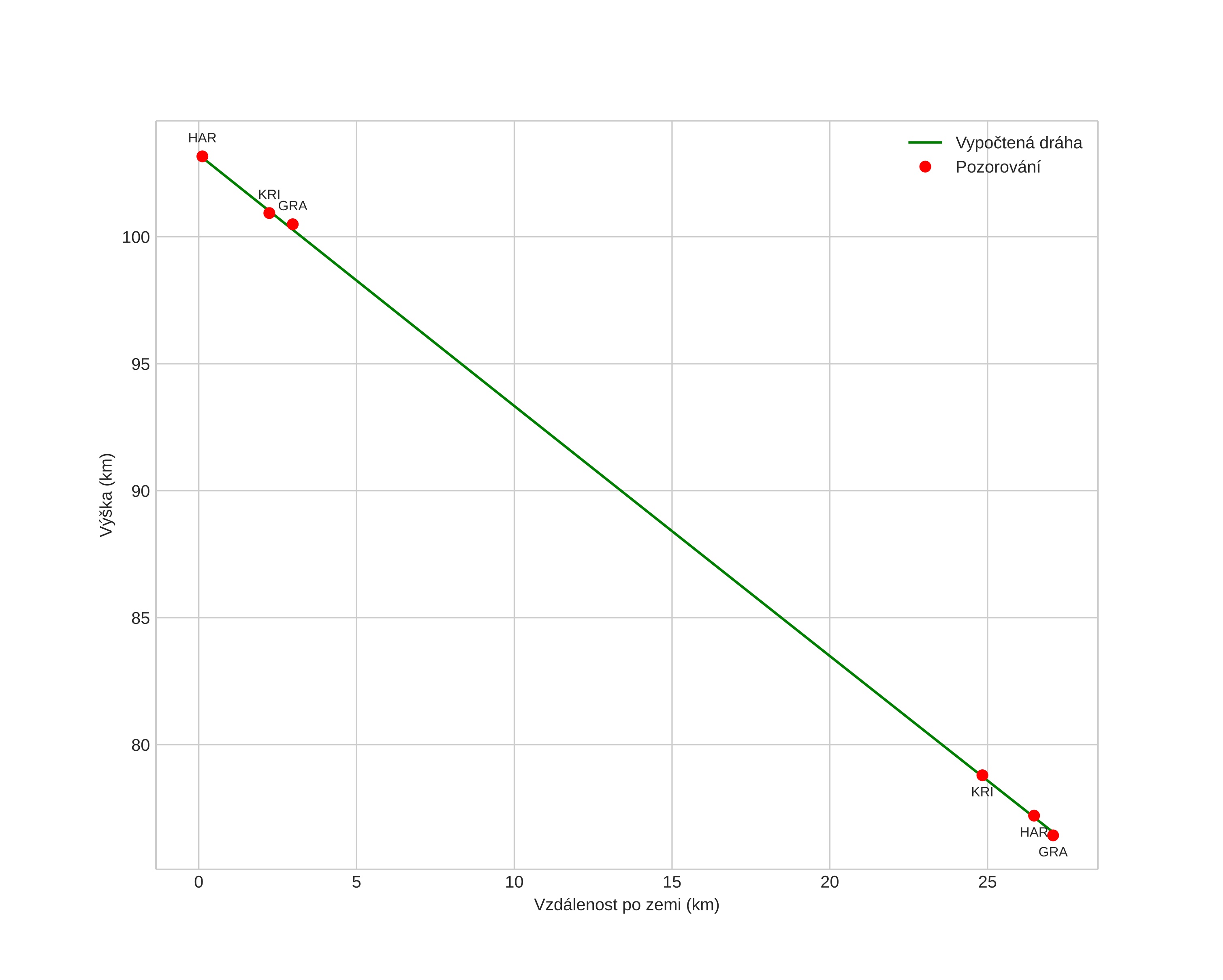
height profile
Atmosférická dráha meteoru:
Počáteční výška: 103,2 km
Konečná výška: 76,5 km
Počáteční poloha: 59,731N 11,018E
Konečná poloha: 59,760N 10,538E
Směr: 277,2°
Sklon: 44,5°
VstupnĂ­ rychlost: 49,6 km/s
Rektascenze radiantu: 18:09 (272,5°)
Deklinace radiantu: 33,7°
MeteorickĂ˝ roj: Lyridy
Elementy dráhy meteoroidu:
Vzdálenost v periheliu: 0,926 AU
Excentricita: 1,068
Sklon dráhy: 80,5°
Délka vzestupného uzlu: 32,8°
Argument perihelia: 212,1°
Střední anomálie: -0,4°
Epocha: 2017 APR 22 23:26:25
orbit plot

NeinteraktivnĂ­ graf | InteraktivnĂ­ graf

position vs time
speed and acceleration