🇳🇴 🇬🇧 🇩🇪 🇨🇿 🇫🇮

Meteor Årosin yllä 2017-04-22 23:26:25 UTC

KML-tiedosto  |  Interaktiivinen kartta

Kartta näyttää meteorin suuntahavainnot. Vaaleammat viivat näyttävät suunnat havaintoasemilta meteorin ilmestyessä, ja tummemmat viivat näyttävät, missä se viimeksi nähtiin. Sininen nuoli näyttää meteorin näkyvän lennon.

static map
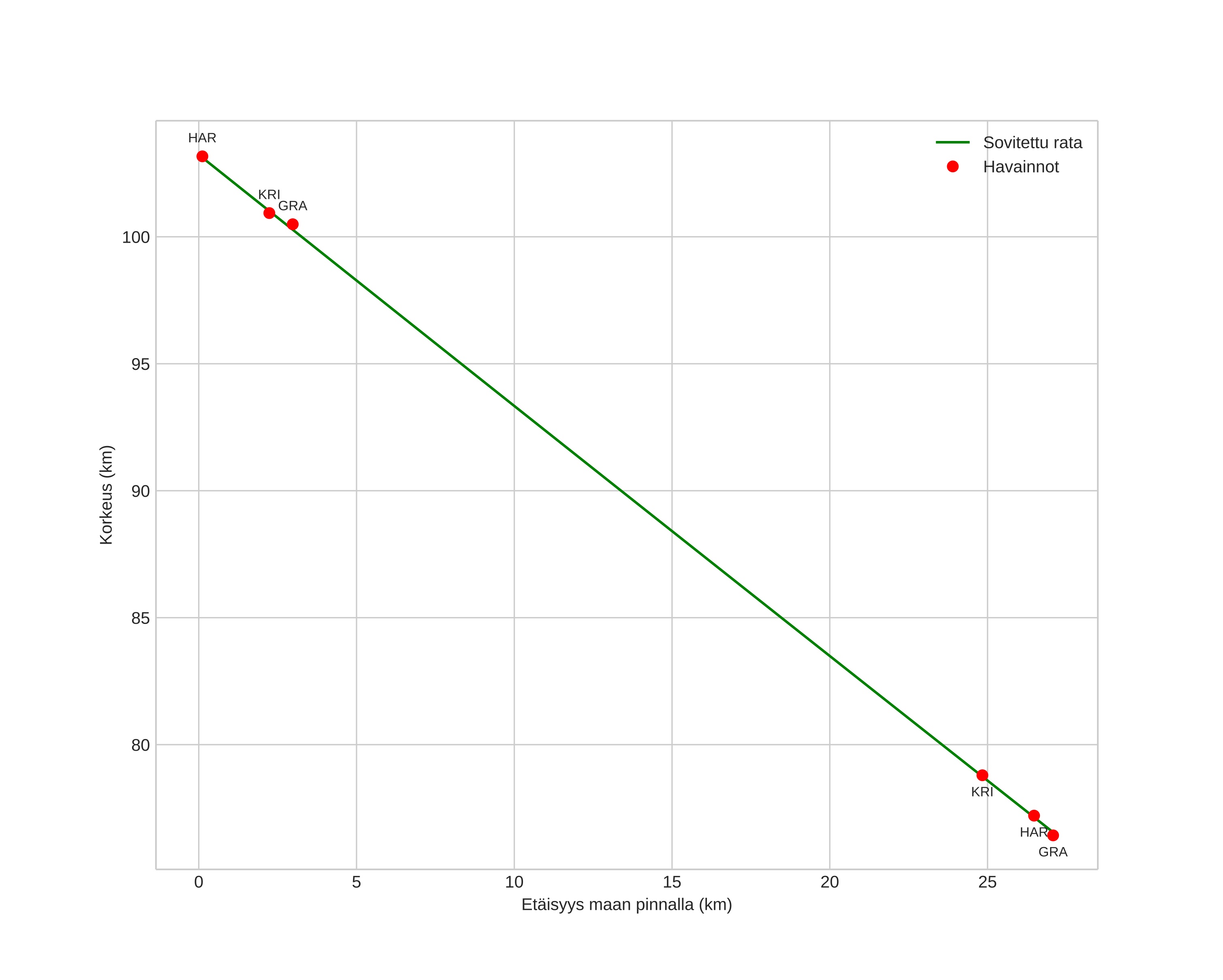
height profile
Meteorin ilmakehärata:
Alkukorkeus: 103,2 km
Loppukorkeus: 76,5 km
Alkupiste: 59,731N 11,018E
Loppupiste: 59,760N 10,538E
Suunta: 277,2°
Kallistuskulma: 44,5°
Tulonopeus: 49,6 km/s
Radiantin R,A,: 18:09 (272,5°)
Radiantin Dekl,: 33,7°
Meteoriparvi: Lyridit
Meteoroidin rataelementit:
Perihelietäisyys: 0,926 AU
Eksentrisyys: 1,068
Inklinaatio: 80,5°
Nousevan solmun pituus: 32,8°
Perihelin argumentti: 212,1°
Keskianomalia: -0,4°
Epookki: 2017 APR 22 23:26:25
orbit plot

Ei-interaktiivinen kuvaaja | Interaktiivinen kuvaaja

position vs time
speed and acceleration