🇳🇴 🇬🇧 🇩🇪 🇨🇿 🇫🇮

Meteor, poloha: Røros 2017-04-23 00:58:23 UTC

Soubor KML  |  InteraktivnĂ­ mapa

Mapa zobrazuje dráhy meteoru. Světlejší čáry ukazují směry od pozorovacích stanic při objevení se meteoru a tmavší čáry, kde byl naposledy viděn. Modrá šipka značí viditelnou dráhu meteoru.

static map
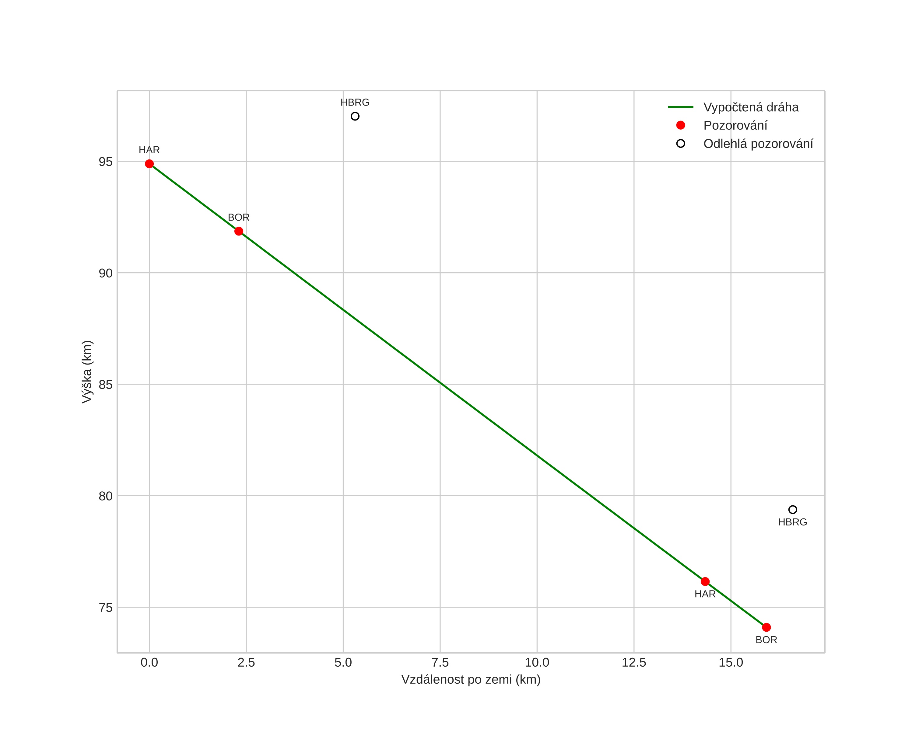
height profile
Atmosférická dráha meteoru:
Počáteční výška: 94,9 km
Konečná výška: 74,1 km
Počáteční poloha: 62,429N 12,105E
Konečná poloha: 62,522N 11,869E
Směr: 310,5°
Sklon: 52,6°
VstupnĂ­ rychlost: 47,9 km/s
Rektascenze radiantu: 18:01 (270,5°)
Deklinace radiantu: 30,9°
MeteorickĂ˝ roj: Lyridy
Elementy dráhy meteoroidu:
Vzdálenost v periheliu: 0,882 AU
Excentricita: 0,905
Sklon dráhy: 80,0°
Délka vzestupného uzlu: 32,8°
Argument perihelia: 222,1°
Střední anomálie: 359,0°
Epocha: 2017 APR 23 00:58:23
orbit plot

NeinteraktivnĂ­ graf | InteraktivnĂ­ graf

position vs time
speed and acceleration