🇳🇴 🇬🇧 🇩🇪 🇨🇿 🇫🇮

Meteor Rørosin yllä 2017-04-23 00:58:23 UTC

KML-tiedosto  |  Interaktiivinen kartta

Kartta näyttää meteorin suuntahavainnot. Vaaleammat viivat näyttävät suunnat havaintoasemilta meteorin ilmestyessä, ja tummemmat viivat näyttävät, missä se viimeksi nähtiin. Sininen nuoli näyttää meteorin näkyvän lennon.

static map
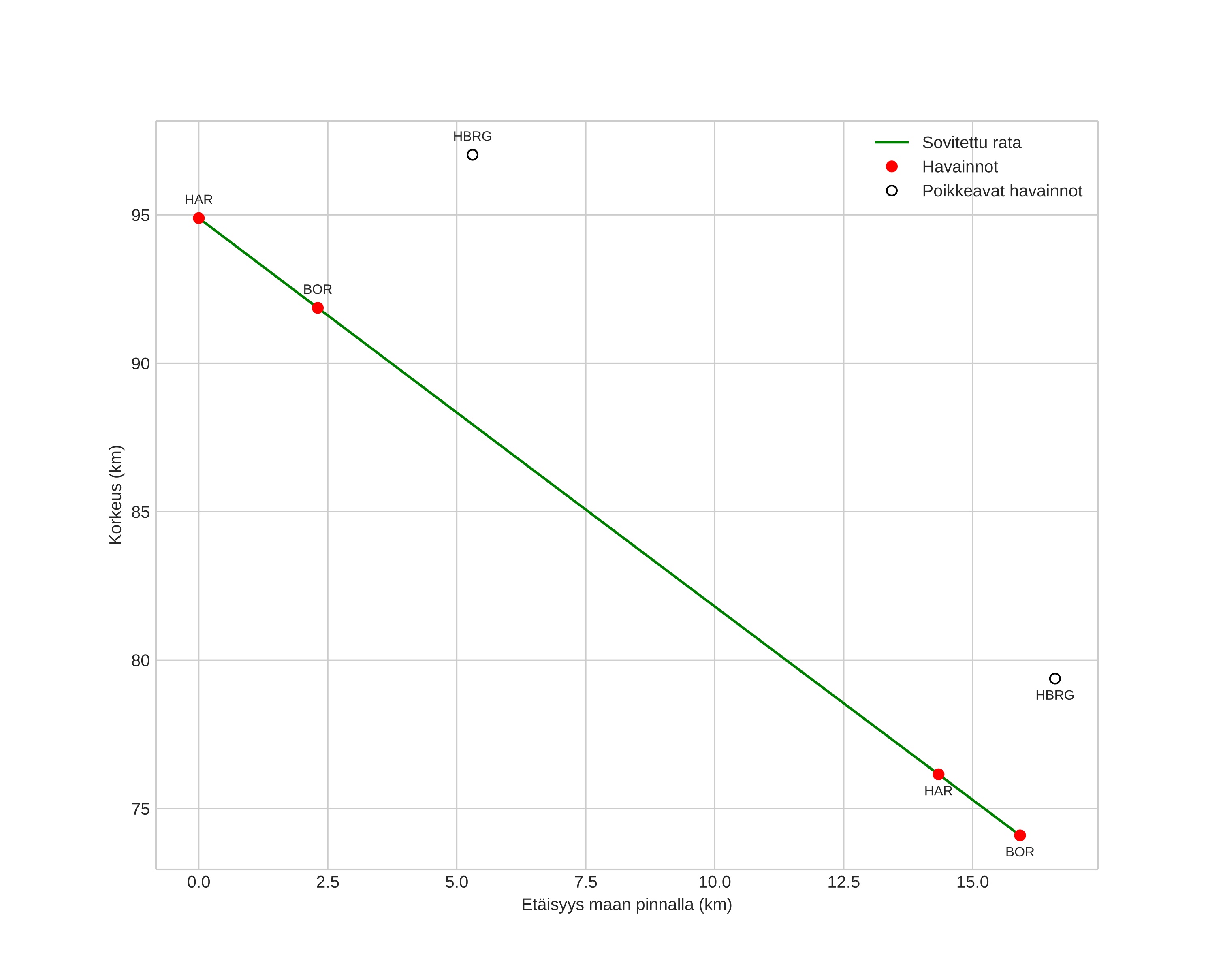
height profile
Meteorin ilmakehärata:
Alkukorkeus: 94,9 km
Loppukorkeus: 74,1 km
Alkupiste: 62,429N 12,105E
Loppupiste: 62,522N 11,869E
Suunta: 310,5°
Kallistuskulma: 52,6°
Tulonopeus: 47,9 km/s
Radiantin R,A,: 18:01 (270,5°)
Radiantin Dekl,: 30,9°
Meteoriparvi: Lyridit
Meteoroidin rataelementit:
Perihelietäisyys: 0,882 AU
Eksentrisyys: 0,905
Inklinaatio: 80,0°
Nousevan solmun pituus: 32,8°
Perihelin argumentti: 222,1°
Keskianomalia: 359,0°
Epookki: 2017 APR 23 00:58:23
orbit plot

Ei-interaktiivinen kuvaaja | Interaktiivinen kuvaaja

position vs time
speed and acceleration