🇳🇴 🇬🇧 🇩🇪 🇨🇿 🇫🇮

Meteor, poloha: Ă…l 2017-05-02 01:12:07 UTC

Soubor KML  |  InteraktivnĂ­ mapa

Mapa zobrazuje dráhy meteoru. Světlejší čáry ukazují směry od pozorovacích stanic při objevení se meteoru a tmavší čáry, kde byl naposledy viděn. Modrá šipka značí viditelnou dráhu meteoru.

static map
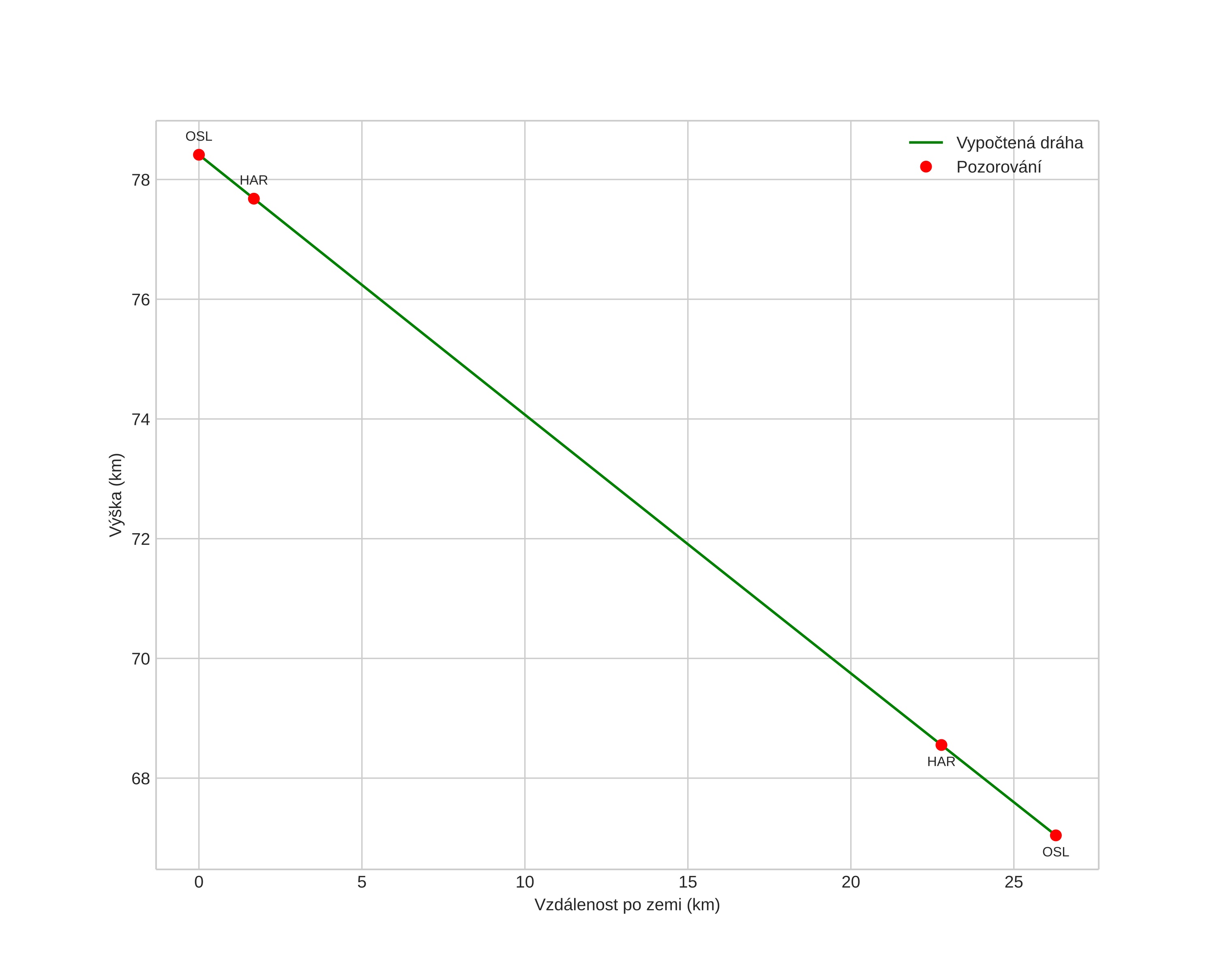
height profile
Atmosférická dráha meteoru:
Počáteční výška: 78,4 km
Konečná výška: 67,0 km
Počáteční poloha: 60,460N 8,818E
Konečná poloha: 60,257N 8,573E
Směr: 210,9°
Sklon: 23,4°
VstupnĂ­ rychlost: 19,7 km/s
Rektascenze radiantu: 01:47 (26,9°)
Deklinace radiantu: 40,7°
MeteorickĂ˝ roj: sporadickĂ˝
Elementy dráhy meteoroidu:
Vzdálenost v periheliu: 0,692 AU
Excentricita: 0,506
Sklon dráhy: 14,3°
Délka vzestupného uzlu: 41,6°
Argument perihelia: 93,9°
Střední anomálie: 32,2°
Epocha: 2017 MAY 02 01:12:07
orbit plot

NeinteraktivnĂ­ graf | InteraktivnĂ­ graf

position vs time
speed and acceleration