🇳🇴 🇬🇧 🇩🇪 🇨🇿 🇫🇮

Meteor Ålin yllä 2017-05-02 01:12:07 UTC

KML-tiedosto  |  Interaktiivinen kartta

Kartta näyttää meteorin suuntahavainnot. Vaaleammat viivat näyttävät suunnat havaintoasemilta meteorin ilmestyessä, ja tummemmat viivat näyttävät, missä se viimeksi nähtiin. Sininen nuoli näyttää meteorin näkyvän lennon.

static map
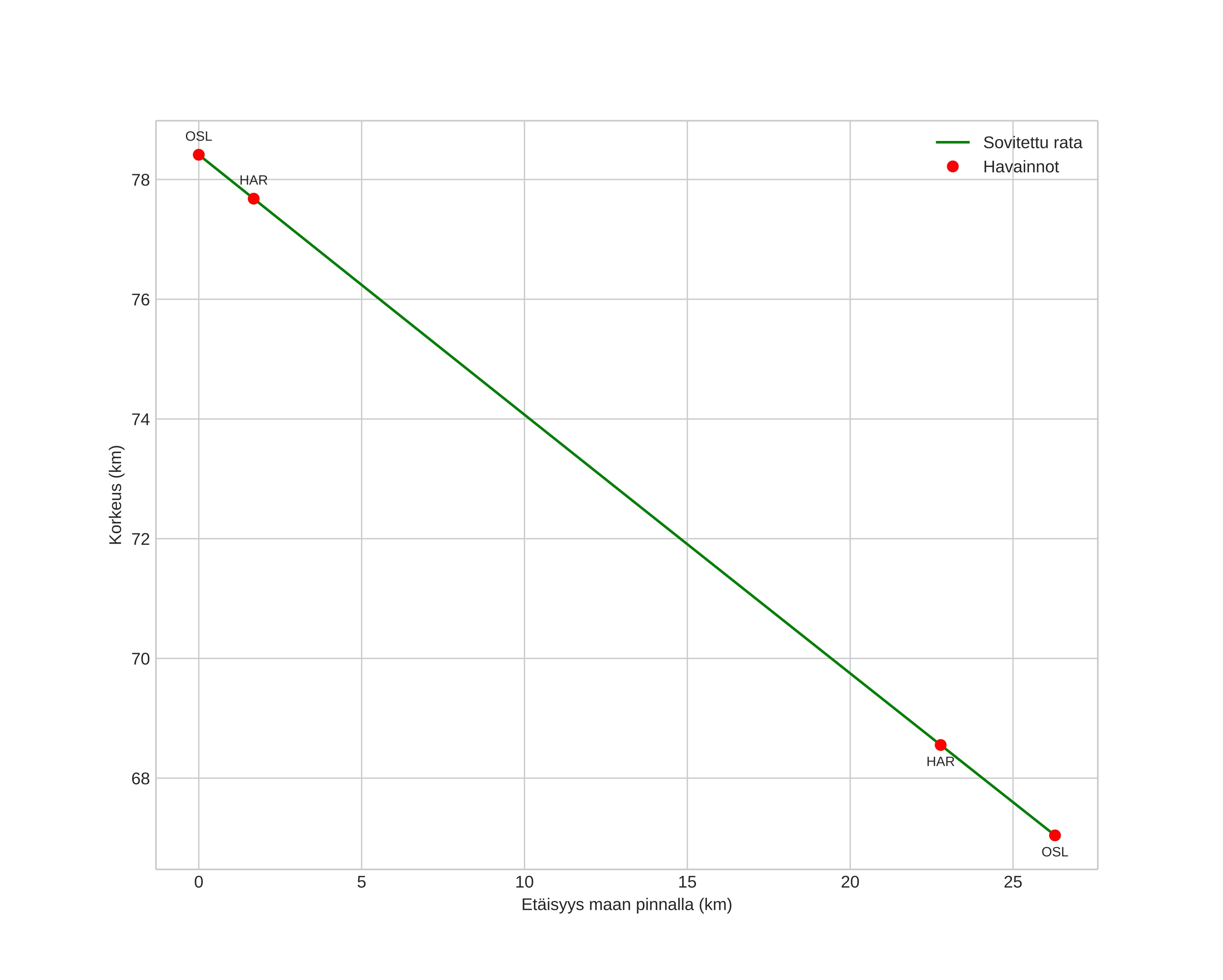
height profile
Meteorin ilmakehärata:
Alkukorkeus: 78,4 km
Loppukorkeus: 67,0 km
Alkupiste: 60,460N 8,818E
Loppupiste: 60,257N 8,573E
Suunta: 210,9°
Kallistuskulma: 23,4°
Tulonopeus: 19,7 km/s
Radiantin R,A,: 01:47 (26,9°)
Radiantin Dekl,: 40,7°
Meteoriparvi: Sporadinen
Meteoroidin rataelementit:
Perihelietäisyys: 0,692 AU
Eksentrisyys: 0,506
Inklinaatio: 14,3°
Nousevan solmun pituus: 41,6°
Perihelin argumentti: 93,9°
Keskianomalia: 32,2°
Epookki: 2017 MAY 02 01:12:07
orbit plot

Ei-interaktiivinen kuvaaja | Interaktiivinen kuvaaja

position vs time
speed and acceleration