🇳🇴 🇬🇧 🇩🇪 🇨🇿 🇫🇮

Meteor, poloha: Seeheilbad Graal-MĂĽritz 2017-05-07 22:35:02 UTC

Soubor KML  |  InteraktivnĂ­ mapa

Mapa zobrazuje dráhy meteoru. Světlejší čáry ukazují směry od pozorovacích stanic při objevení se meteoru a tmavší čáry, kde byl naposledy viděn. Modrá šipka značí viditelnou dráhu meteoru.

static map
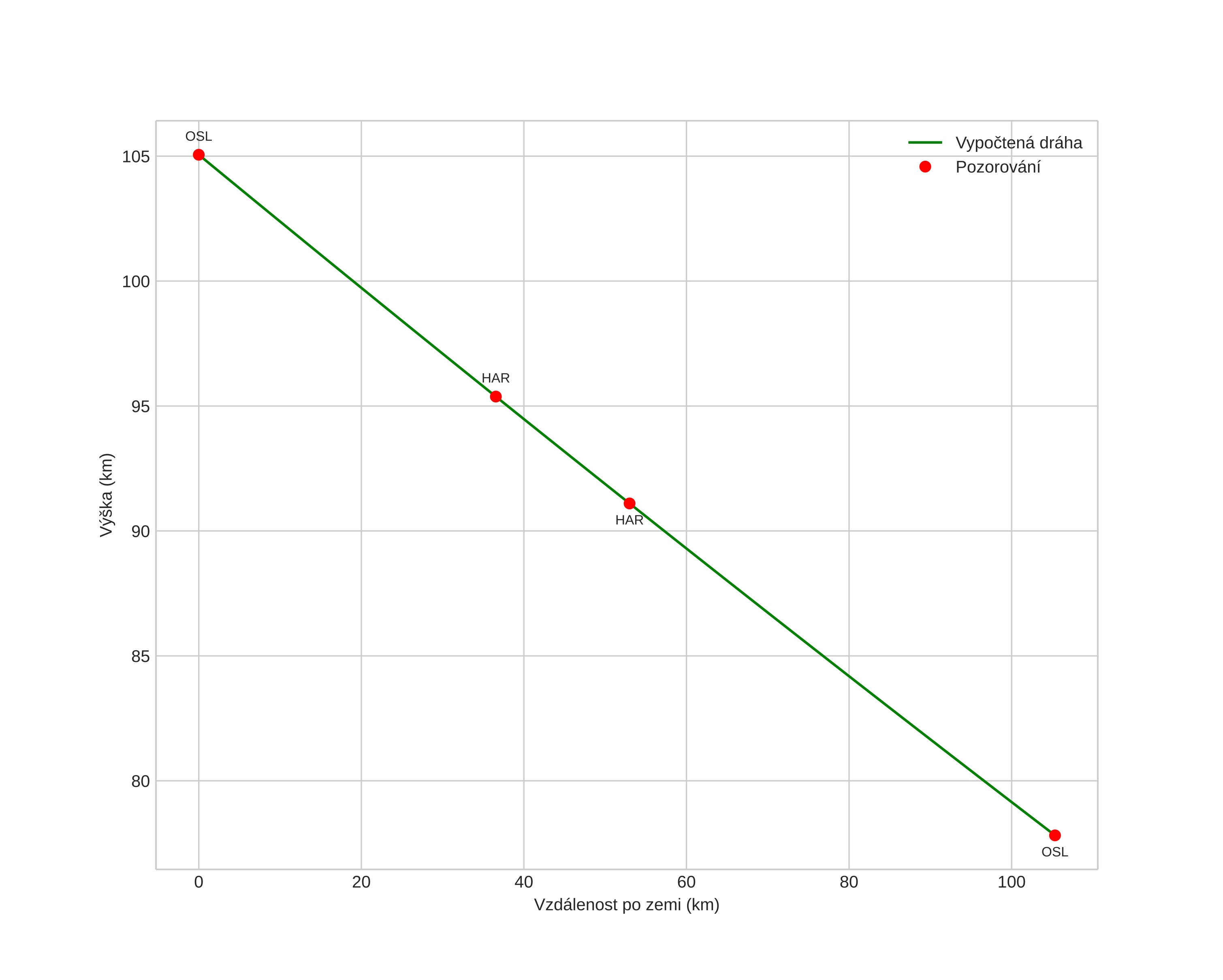
height profile
Atmosférická dráha meteoru:
Počáteční výška: 105,1 km
Konečná výška: 77,8 km
Počáteční poloha: 55,143N 11,614E
Konečná poloha: 54,254N 12,183E
Směr: 159,5°
Sklon: 14,5°
VstupnĂ­ rychlost: 39,2 km/s
Rektascenze radiantu: 04:20 (65,2°)
Deklinace radiantu: 44,4°
MeteorickĂ˝ roj: sporadickĂ˝
Elementy dráhy meteoroidu:
Vzdálenost v periheliu: 0,758 AU
Excentricita: 2,181
Sklon dráhy: 18,4°
Délka vzestupného uzlu: 47,3°
Argument perihelia: 129,6°
Střední anomálie: 44,3°
Epocha: 2017 MAY 07 22:35:02
orbit plot

NeinteraktivnĂ­ graf | InteraktivnĂ­ graf

position vs time
speed and acceleration