🇳🇴 🇬🇧 🇩🇪 🇨🇿 🇫🇮

Meteor Seeheilbad Graal-Müritzin yllä 2017-05-07 22:35:02 UTC

KML-tiedosto  |  Interaktiivinen kartta

Kartta näyttää meteorin suuntahavainnot. Vaaleammat viivat näyttävät suunnat havaintoasemilta meteorin ilmestyessä, ja tummemmat viivat näyttävät, missä se viimeksi nähtiin. Sininen nuoli näyttää meteorin näkyvän lennon.

static map
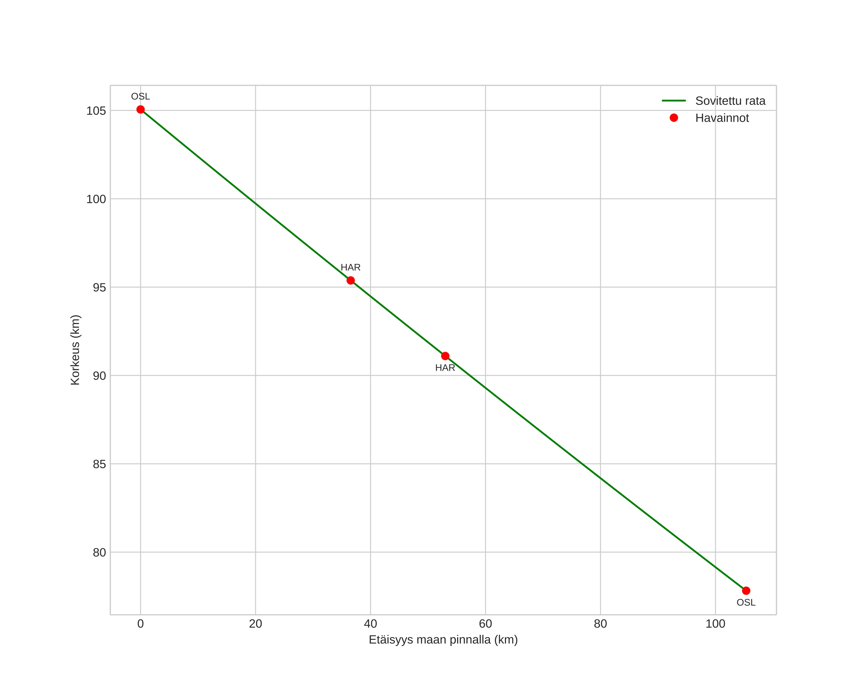
height profile
Meteorin ilmakehärata:
Alkukorkeus: 105,1 km
Loppukorkeus: 77,8 km
Alkupiste: 55,143N 11,614E
Loppupiste: 54,254N 12,183E
Suunta: 159,5°
Kallistuskulma: 14,5°
Tulonopeus: 39,2 km/s
Radiantin R,A,: 04:20 (65,2°)
Radiantin Dekl,: 44,4°
Meteoriparvi: Sporadinen
Meteoroidin rataelementit:
Perihelietäisyys: 0,758 AU
Eksentrisyys: 2,181
Inklinaatio: 18,4°
Nousevan solmun pituus: 47,3°
Perihelin argumentti: 129,6°
Keskianomalia: 44,3°
Epookki: 2017 MAY 07 22:35:02
orbit plot

Ei-interaktiivinen kuvaaja | Interaktiivinen kuvaaja

position vs time
speed and acceleration