🇳🇴 🇬🇧 🇩🇪 🇨🇿 🇫🇮

Meteor, poloha: Dovre 2017-05-08 22:17:19 UTC

Soubor KML  |  InteraktivnĂ­ mapa

Mapa zobrazuje dráhy meteoru. Světlejší čáry ukazují směry od pozorovacích stanic při objevení se meteoru a tmavší čáry, kde byl naposledy viděn. Modrá šipka značí viditelnou dráhu meteoru.

static map
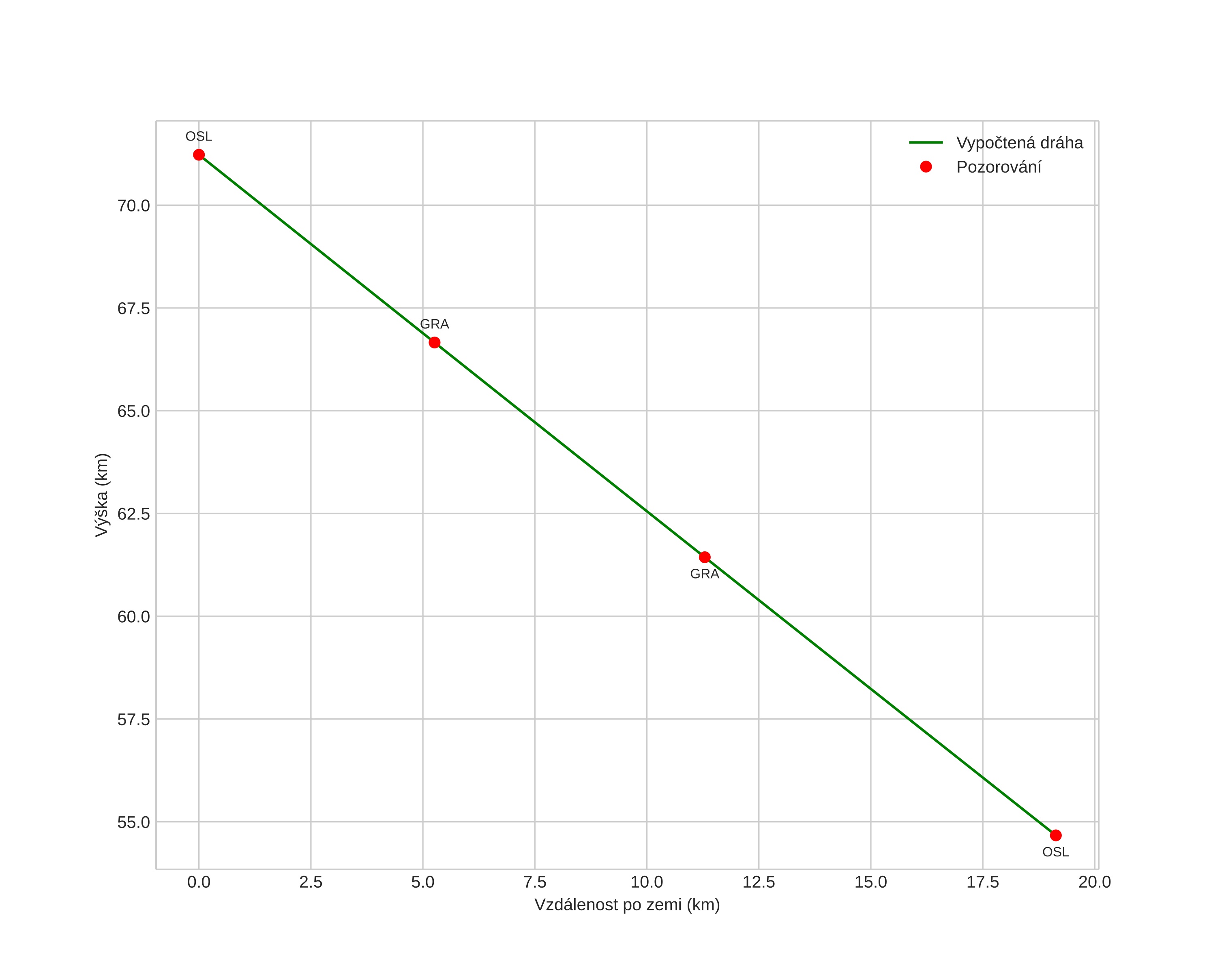
height profile
Atmosférická dráha meteoru:
Počáteční výška: 71,2 km
Konečná výška: 54,7 km
Počáteční poloha: 62,120N 9,753E
Konečná poloha: 62,188N 9,415E
Směr: 293,3°
Sklon: 40,8°
VstupnĂ­ rychlost: 31,2 km/s
Rektascenze radiantu: 17:27 (262,0°)
Deklinace radiantu: 24,4°
MeteorickĂ˝ roj: sporadickĂ˝
Elementy dráhy meteoroidu:
Vzdálenost v periheliu: 0,623 AU
Excentricita: 0,542
Sklon dráhy: 47,8°
Délka vzestupného uzlu: 48,3°
Argument perihelia: 275,1°
Střední anomálie: 325,8°
Epocha: 2017 MAY 08 22:17:19
orbit plot

NeinteraktivnĂ­ graf | InteraktivnĂ­ graf

position vs time
speed and acceleration