🇳🇴 🇬🇧 🇩🇪 🇨🇿 🇫🇮

Meteor Dovren yllä 2017-05-08 22:17:19 UTC

KML-tiedosto  |  Interaktiivinen kartta

Kartta näyttää meteorin suuntahavainnot. Vaaleammat viivat näyttävät suunnat havaintoasemilta meteorin ilmestyessä, ja tummemmat viivat näyttävät, missä se viimeksi nähtiin. Sininen nuoli näyttää meteorin näkyvän lennon.

static map
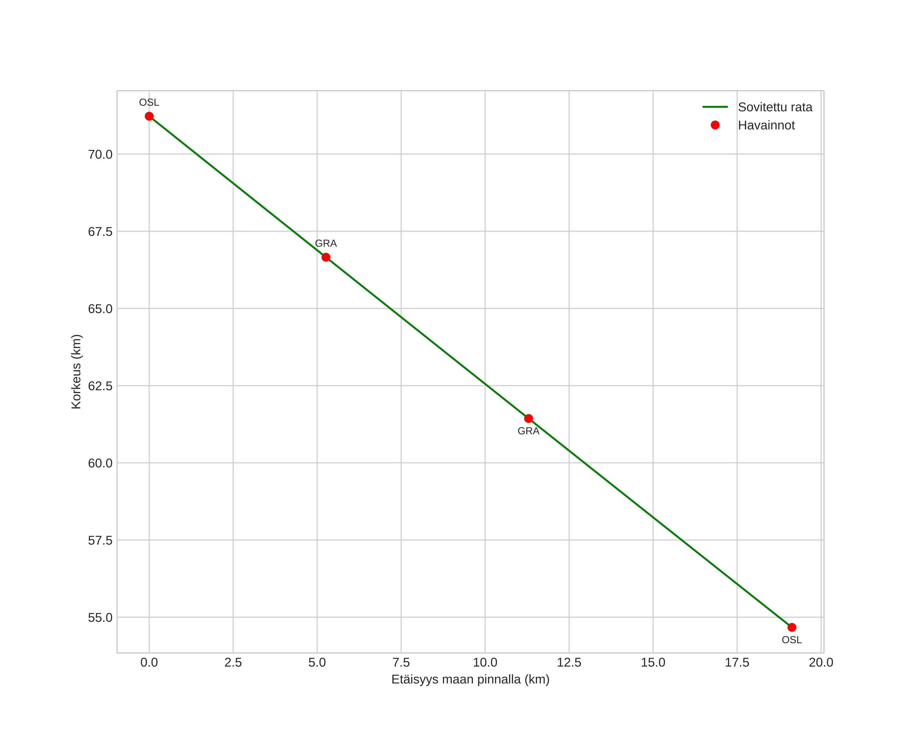
height profile
Meteorin ilmakehärata:
Alkukorkeus: 71,2 km
Loppukorkeus: 54,7 km
Alkupiste: 62,120N 9,753E
Loppupiste: 62,188N 9,415E
Suunta: 293,3°
Kallistuskulma: 40,8°
Tulonopeus: 31,2 km/s
Radiantin R,A,: 17:27 (262,0°)
Radiantin Dekl,: 24,4°
Meteoriparvi: Sporadinen
Meteoroidin rataelementit:
Perihelietäisyys: 0,623 AU
Eksentrisyys: 0,542
Inklinaatio: 47,8°
Nousevan solmun pituus: 48,3°
Perihelin argumentti: 275,1°
Keskianomalia: 325,8°
Epookki: 2017 MAY 08 22:17:19
orbit plot

Ei-interaktiivinen kuvaaja | Interaktiivinen kuvaaja

position vs time
speed and acceleration