🇳🇴 🇬🇧 🇩🇪 🇨🇿 🇫🇮

Meteor, poloha: Mandal 2017-07-20 00:17:39 UTC

Soubor KML  |  InteraktivnĂ­ mapa

Mapa zobrazuje dráhy meteoru. Světlejší čáry ukazují směry od pozorovacích stanic při objevení se meteoru a tmavší čáry, kde byl naposledy viděn. Modrá šipka značí viditelnou dráhu meteoru.

static map
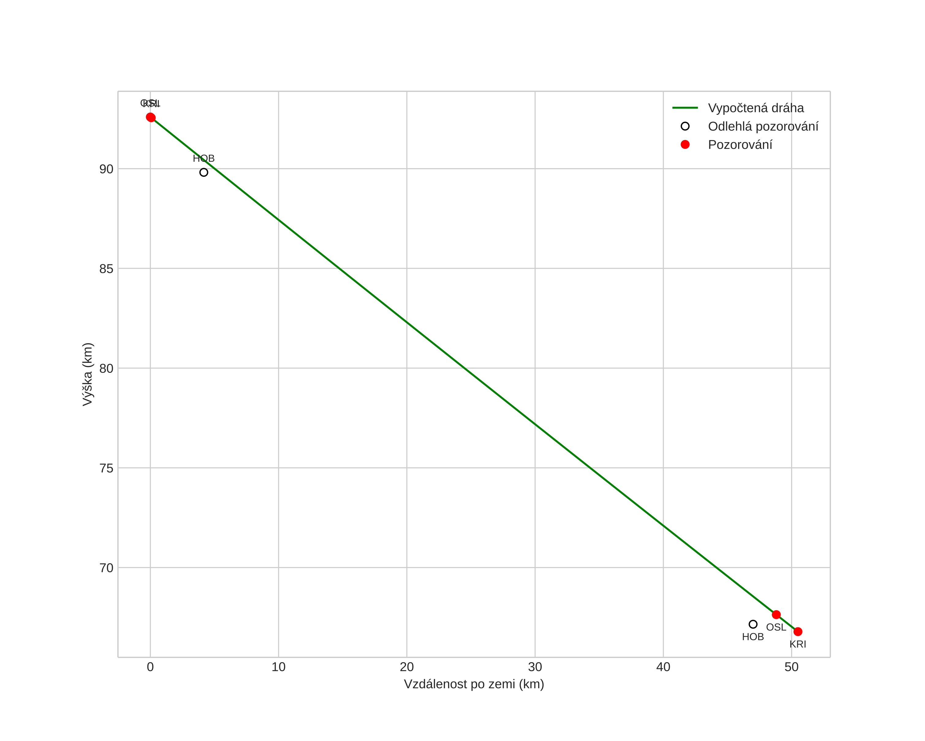
height profile
Atmosférická dráha meteoru:
Počáteční výška: 92,6 km
Konečná výška: 66,8 km
Počáteční poloha: 57,680N 7,699E
Konečná poloha: 58,112N 7,433E
Směr: 342,0°
Sklon: 27,1°
VstupnĂ­ rychlost: 45,6 km/s
Rektascenze radiantu: 21:42 (325,7°)
Deklinace radiantu: -5,1°
MeteorickĂ˝ roj: sporadickĂ˝
Elementy dráhy meteoroidu:
Vzdálenost v periheliu: 0,062 AU
Excentricita: 0,988
Sklon dráhy: 37,4°
Délka vzestupného uzlu: 117,3°
Argument perihelia: 332,7°
Střední anomálie: 357,4°
Epocha: 2017 JUL 20 00:17:39
orbit plot

NeinteraktivnĂ­ graf | InteraktivnĂ­ graf

position vs time
speed and acceleration