🇳🇴 🇬🇧 🇩🇪 🇨🇿 🇫🇮

Meteor Mandalin yllä 2017-07-20 00:17:39 UTC

KML-tiedosto  |  Interaktiivinen kartta

Kartta näyttää meteorin suuntahavainnot. Vaaleammat viivat näyttävät suunnat havaintoasemilta meteorin ilmestyessä, ja tummemmat viivat näyttävät, missä se viimeksi nähtiin. Sininen nuoli näyttää meteorin näkyvän lennon.

static map
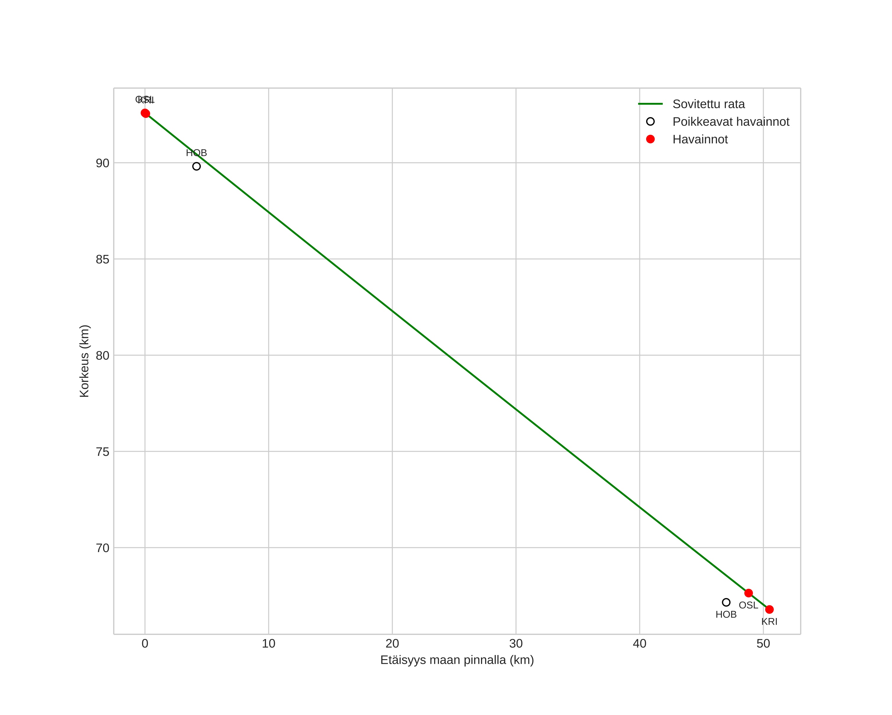
height profile
Meteorin ilmakehärata:
Alkukorkeus: 92,6 km
Loppukorkeus: 66,8 km
Alkupiste: 57,680N 7,699E
Loppupiste: 58,112N 7,433E
Suunta: 342,0°
Kallistuskulma: 27,1°
Tulonopeus: 45,6 km/s
Radiantin R,A,: 21:42 (325,7°)
Radiantin Dekl,: -5,1°
Meteoriparvi: Sporadinen
Meteoroidin rataelementit:
Perihelietäisyys: 0,062 AU
Eksentrisyys: 0,988
Inklinaatio: 37,4°
Nousevan solmun pituus: 117,3°
Perihelin argumentti: 332,7°
Keskianomalia: 357,4°
Epookki: 2017 JUL 20 00:17:39
orbit plot

Ei-interaktiivinen kuvaaja | Interaktiivinen kuvaaja

position vs time
speed and acceleration

Voksenlia (OSL) cam1


gnomonic
Videot:
• Gnomoninen
• Gnomoninen koordinaateilla
• Alkuperäinen
• Alkuperäinen koordinaateilla
Kuvat:
• Gnomoninen
• Gnomoninen koordinaateilla
• Gnomoninen merkinnöillä
• Alkuperäinen
• Alkuperäinen koordinaateilla
• Alkuperäinen maskilla
Tekstitiedostot:
• Havaintoraportti
• Observaatio
• Koordinaatit
• Virheilmoitukset
• Loki
Kirkkaus