🇳🇴 🇬🇧 🇩🇪 🇨🇿 🇫🇮

Meteor, poloha: Vestbygd 2017-08-10 23:49:30 UTC

Soubor KML  |  InteraktivnĂ­ mapa

Mapa zobrazuje dráhy meteoru. Světlejší čáry ukazují směry od pozorovacích stanic při objevení se meteoru a tmavší čáry, kde byl naposledy viděn. Modrá šipka značí viditelnou dráhu meteoru.

static map
height profile
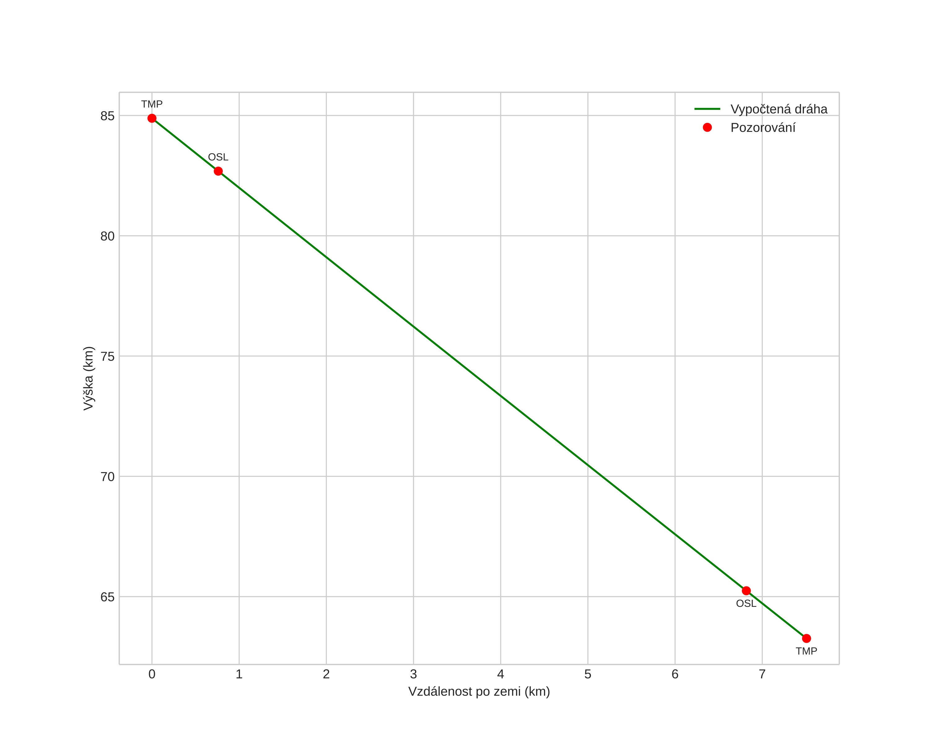
Atmosférická dráha meteoru:
Počáteční výška: 84,9 km
Konečná výška: 63,3 km
Počáteční poloha: 56,276N 6,230E
Konečná poloha: 56,303N 6,119E
Směr: 294,0°
Sklon: 70,8°
VstupnĂ­ rychlost: 51,8 km/s
Rektascenze radiantu: 23:12 (348,0°)
Deklinace radiantu: 45,0°
MeteorickĂ˝ roj: sporadickĂ˝
Elementy dráhy meteoroidu:
Vzdálenost v periheliu: 0,744 AU
Excentricita: 0,985
Sklon dráhy: 89,0°
Délka vzestupného uzlu: 138,3°
Argument perihelia: 242,3°
Střední anomálie: 359,9°
Epocha: 2017 AUG 10 23:49:30
orbit plot

NeinteraktivnĂ­ graf | InteraktivnĂ­ graf

position vs time
speed and acceleration