🇳🇴 🇬🇧 🇩🇪 🇨🇿 🇫🇮

Meteor Vestbygdin yllä 2017-08-10 23:49:30 UTC

KML-tiedosto  |  Interaktiivinen kartta

Kartta näyttää meteorin suuntahavainnot. Vaaleammat viivat näyttävät suunnat havaintoasemilta meteorin ilmestyessä, ja tummemmat viivat näyttävät, missä se viimeksi nähtiin. Sininen nuoli näyttää meteorin näkyvän lennon.

static map
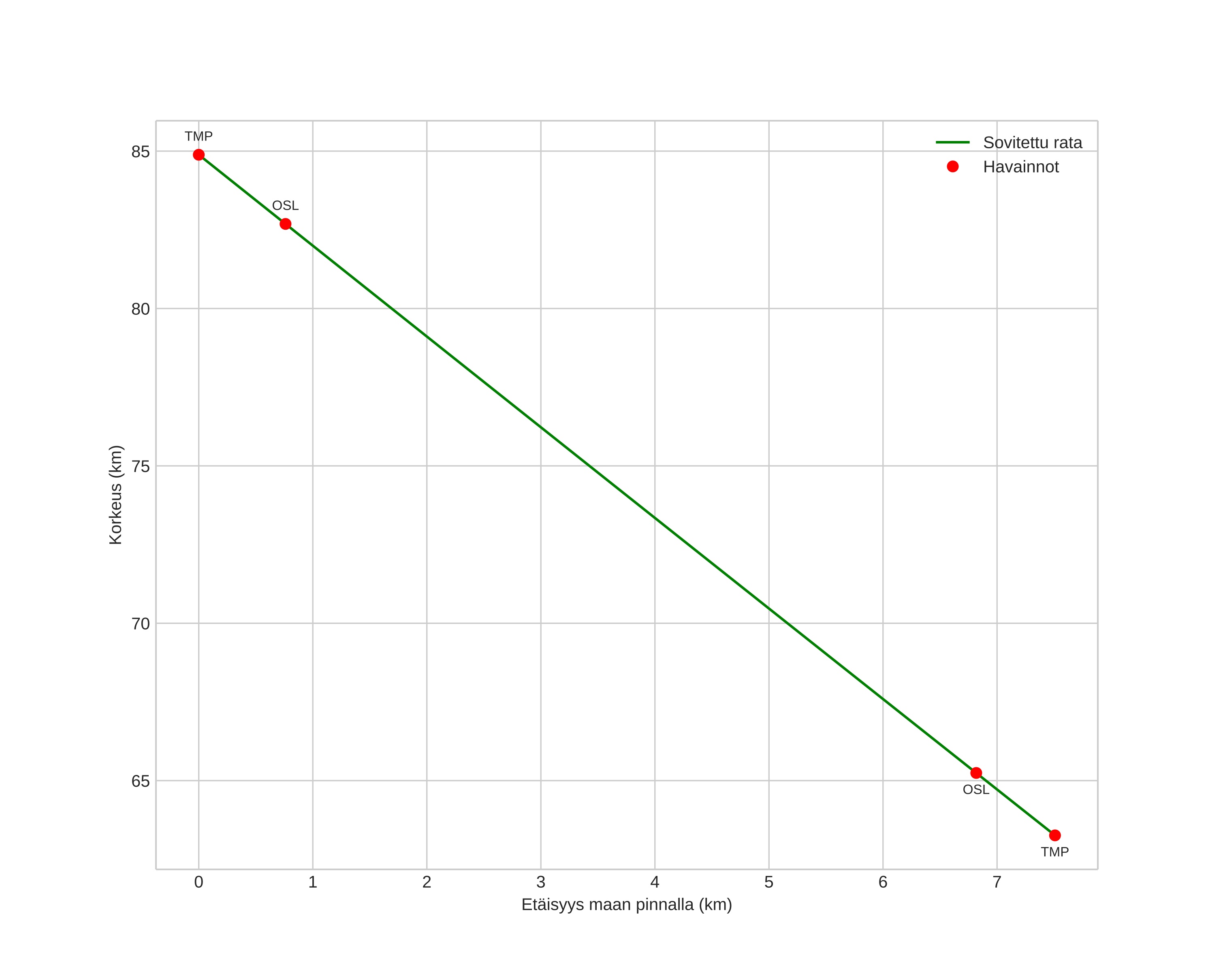
height profile
Meteorin ilmakehärata:
Alkukorkeus: 84,9 km
Loppukorkeus: 63,3 km
Alkupiste: 56,276N 6,230E
Loppupiste: 56,303N 6,119E
Suunta: 294,0°
Kallistuskulma: 70,8°
Tulonopeus: 51,8 km/s
Radiantin R,A,: 23:12 (348,0°)
Radiantin Dekl,: 45,0°
Meteoriparvi: Sporadinen
Meteoroidin rataelementit:
Perihelietäisyys: 0,744 AU
Eksentrisyys: 0,985
Inklinaatio: 89,0°
Nousevan solmun pituus: 138,3°
Perihelin argumentti: 242,3°
Keskianomalia: 359,9°
Epookki: 2017 AUG 10 23:49:30
orbit plot

Ei-interaktiivinen kuvaaja | Interaktiivinen kuvaaja

position vs time
speed and acceleration