🇳🇴 🇬🇧 🇩🇪 🇨🇿 🇫🇮

Meteor, poloha: TranĂĄs 2017-08-11 00:23:00 UTC

Soubor KML  |  InteraktivnĂ­ mapa

Mapa zobrazuje dráhy meteoru. Světlejší čáry ukazují směry od pozorovacích stanic při objevení se meteoru a tmavší čáry, kde byl naposledy viděn. Modrá šipka značí viditelnou dráhu meteoru.

static map
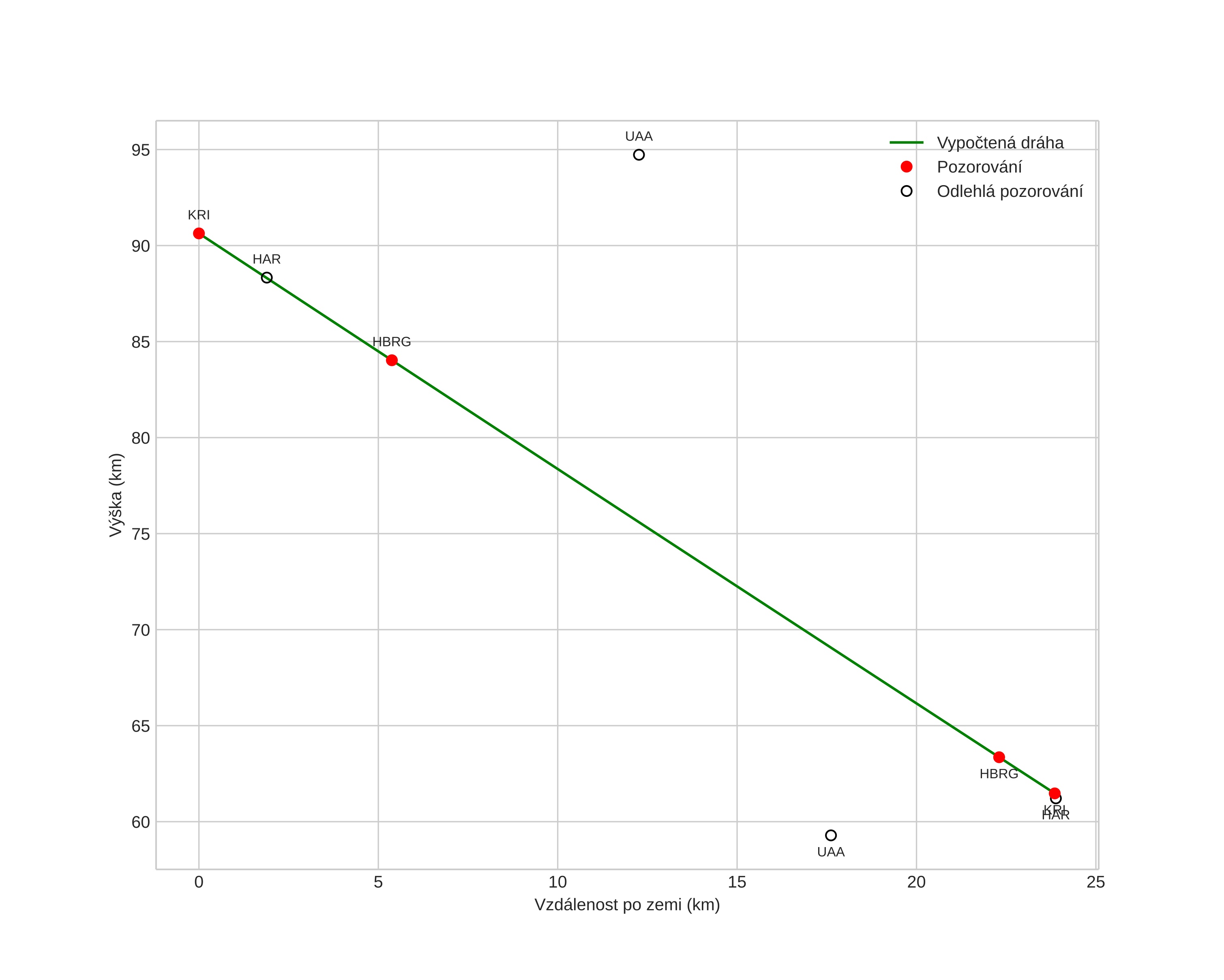
height profile
Atmosférická dráha meteoru:
Počáteční výška: 90,6 km
Konečná výška: 61,5 km
Počáteční poloha: 58,266N 14,639E
Konečná poloha: 58,131N 14,957E
Směr: 128,6°
Sklon: 50,7°
VstupnĂ­ rychlost: 25,1 km/s
Rektascenze radiantu: 16:58 (254,6°)
Deklinace radiantu: 58,1°
MeteorickĂ˝ roj: sporadickĂ˝
Elementy dráhy meteoroidu:
Vzdálenost v periheliu: 1,013 AU
Excentricita: 0,858
Sklon dráhy: 33,4°
Délka vzestupného uzlu: 138,3°
Argument perihelia: 179,6°
Střední anomálie: 0,0°
Epocha: 2017 AUG 11 00:23:00
orbit plot

NeinteraktivnĂ­ graf | InteraktivnĂ­ graf

position vs time
speed and acceleration