🇳🇴 🇬🇧 🇩🇪 🇨🇿 🇫🇮

Meteor Tranåsin yllä 2017-08-11 00:23:00 UTC

KML-tiedosto  |  Interaktiivinen kartta

Kartta näyttää meteorin suuntahavainnot. Vaaleammat viivat näyttävät suunnat havaintoasemilta meteorin ilmestyessä, ja tummemmat viivat näyttävät, missä se viimeksi nähtiin. Sininen nuoli näyttää meteorin näkyvän lennon.

static map
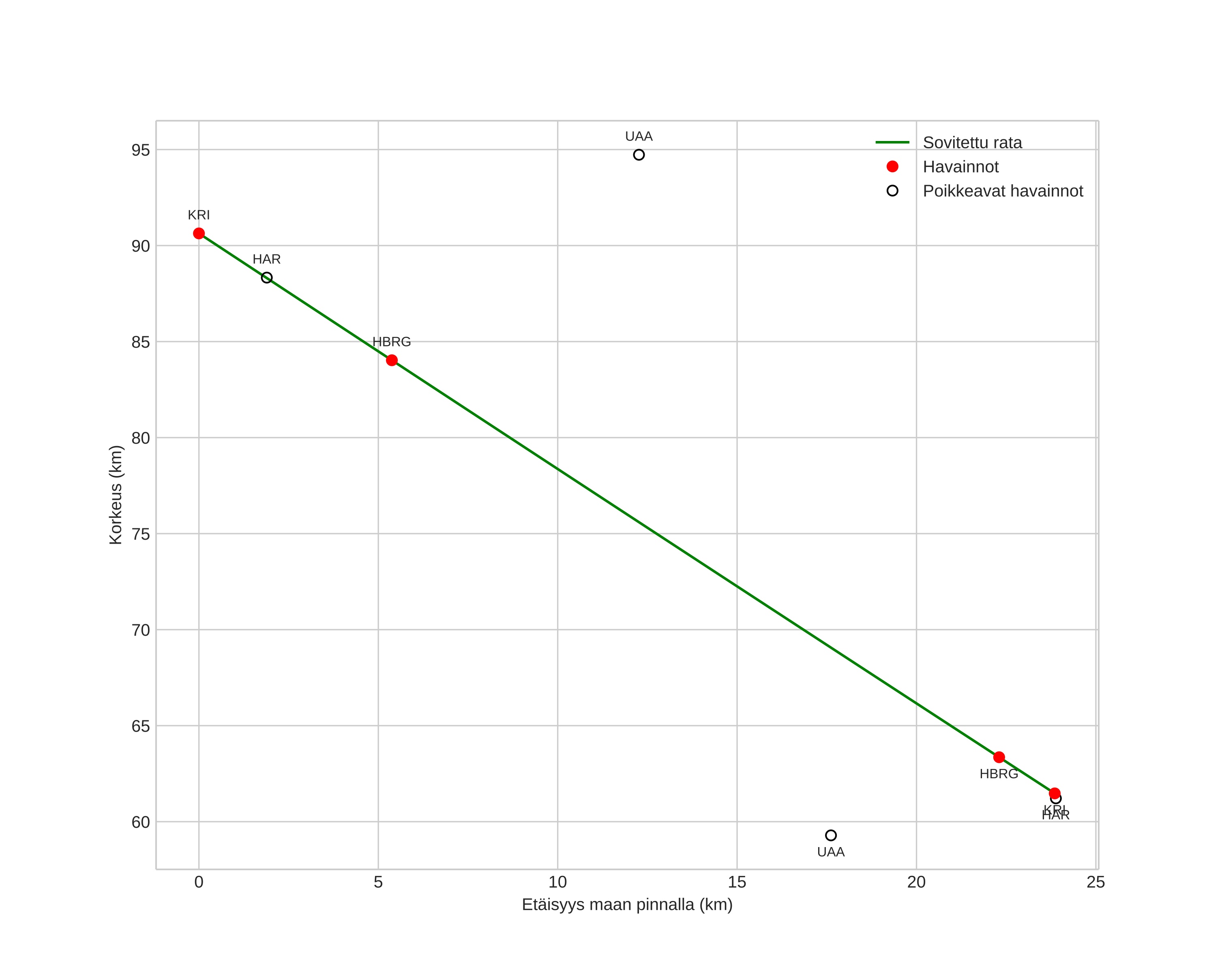
height profile
Meteorin ilmakehärata:
Alkukorkeus: 90,6 km
Loppukorkeus: 61,5 km
Alkupiste: 58,266N 14,639E
Loppupiste: 58,131N 14,957E
Suunta: 128,6°
Kallistuskulma: 50,7°
Tulonopeus: 25,1 km/s
Radiantin R,A,: 16:58 (254,6°)
Radiantin Dekl,: 58,1°
Meteoriparvi: Sporadinen
Meteoroidin rataelementit:
Perihelietäisyys: 1,013 AU
Eksentrisyys: 0,858
Inklinaatio: 33,4°
Nousevan solmun pituus: 138,3°
Perihelin argumentti: 179,6°
Keskianomalia: 0,0°
Epookki: 2017 AUG 11 00:23:00
orbit plot

Ei-interaktiivinen kuvaaja | Interaktiivinen kuvaaja

position vs time
speed and acceleration