🇳🇴 🇬🇧 🇩🇪 🇨🇿 🇫🇮

Meteor, poloha: Søgne 2017-08-12 20:50:32 UTC

Soubor KML  |  Interaktivní mapa

Mapa zobrazuje dráhy meteoru. Světlejší čáry ukazují směry od pozorovacích stanic při objevení se meteoru a tmavší čáry, kde byl naposledy viděn. Modrá šipka značí viditelnou dráhu meteoru.

static map
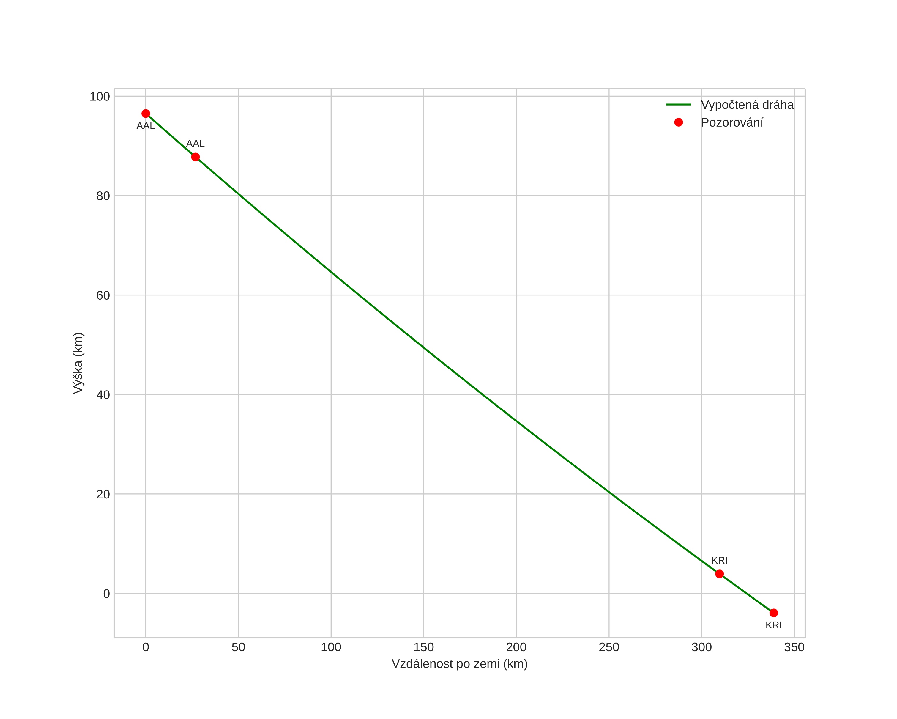
height profile
Atmosférická dráha meteoru:
Počáteční výška: 96,5 km
Konečná výška: -3,9 km
Počáteční poloha: 57,673N 13,360E
Konečná poloha: 58,117N 7,685E
Směr: 280,8°
Sklon: 16,5°
Vstupní rychlost: 69,8 km/s
Rektascenze radiantu: 23:58 (359,5°)
Deklinace radiantu: 7,7°
Meteorický roj: sporadický
Elementy dráhy meteoroidu:
Vzdálenost v periheliu: 0,184 AU
Excentricita: 1,237
Sklon dráhy: 152,5°
Délka vzestupného uzlu: 140,1°
Argument perihelia: 298,7°
Střední anomálie: -40,9°
Epocha: 2017 AUG 12 20:50:32
orbit plot

Neinteraktivní graf | Interaktivní graf

position vs time
speed and acceleration