🇳🇴 🇬🇧 🇩🇪 🇨🇿 🇫🇮

Meteor Søgnen yllä 2017-08-12 20:50:32 UTC

KML-tiedosto  |  Interaktiivinen kartta

Kartta näyttää meteorin suuntahavainnot. Vaaleammat viivat näyttävät suunnat havaintoasemilta meteorin ilmestyessä, ja tummemmat viivat näyttävät, missä se viimeksi nähtiin. Sininen nuoli näyttää meteorin näkyvän lennon.

static map
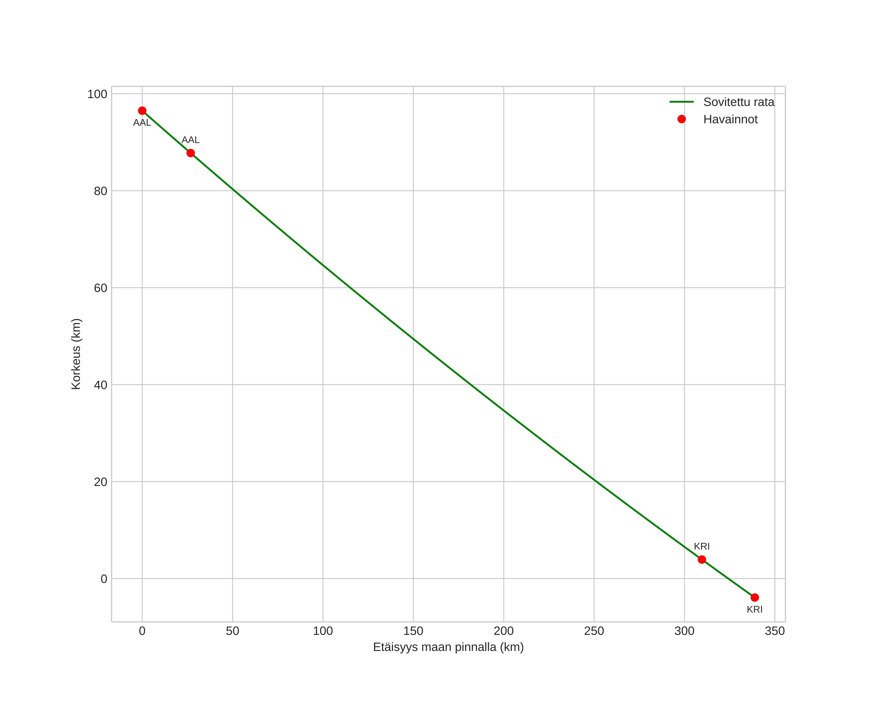
height profile
Meteorin ilmakehärata:
Alkukorkeus: 96,5 km
Loppukorkeus: -3,9 km
Alkupiste: 57,673N 13,360E
Loppupiste: 58,117N 7,685E
Suunta: 280,8°
Kallistuskulma: 16,5°
Tulonopeus: 69,8 km/s
Radiantin R,A,: 23:58 (359,5°)
Radiantin Dekl,: 7,7°
Meteoriparvi: Sporadinen
Meteoroidin rataelementit:
Perihelietäisyys: 0,184 AU
Eksentrisyys: 1,237
Inklinaatio: 152,5°
Nousevan solmun pituus: 140,1°
Perihelin argumentti: 298,7°
Keskianomalia: -40,9°
Epookki: 2017 AUG 12 20:50:32
orbit plot

Ei-interaktiivinen kuvaaja | Interaktiivinen kuvaaja

position vs time
speed and acceleration

Kristiansand (KRI) cam3


gnomonic
Videot:
• Gnomoninen
• Gnomoninen koordinaateilla
• Alkuperäinen
• Alkuperäinen koordinaateilla
Kuvat:
• Gnomoninen
• Gnomoninen koordinaateilla
• Gnomoninen merkinnöillä
• Alkuperäinen
• Alkuperäinen koordinaateilla
• Alkuperäinen maskilla
Tekstitiedostot:
• Havaintoraportti
• Observaatio
• Koordinaatit
• Virheilmoitukset
• Loki
Kirkkaus