🇳🇴 🇬🇧 🇩🇪 🇨🇿 🇫🇮

Meteor, poloha: Løgstør 2017-08-12 21:25:38 UTC

Soubor KML  |  InteraktivnĂ­ mapa

Mapa zobrazuje dráhy meteoru. Světlejší čáry ukazují směry od pozorovacích stanic při objevení se meteoru a tmavší čáry, kde byl naposledy viděn. Modrá šipka značí viditelnou dráhu meteoru.

static map
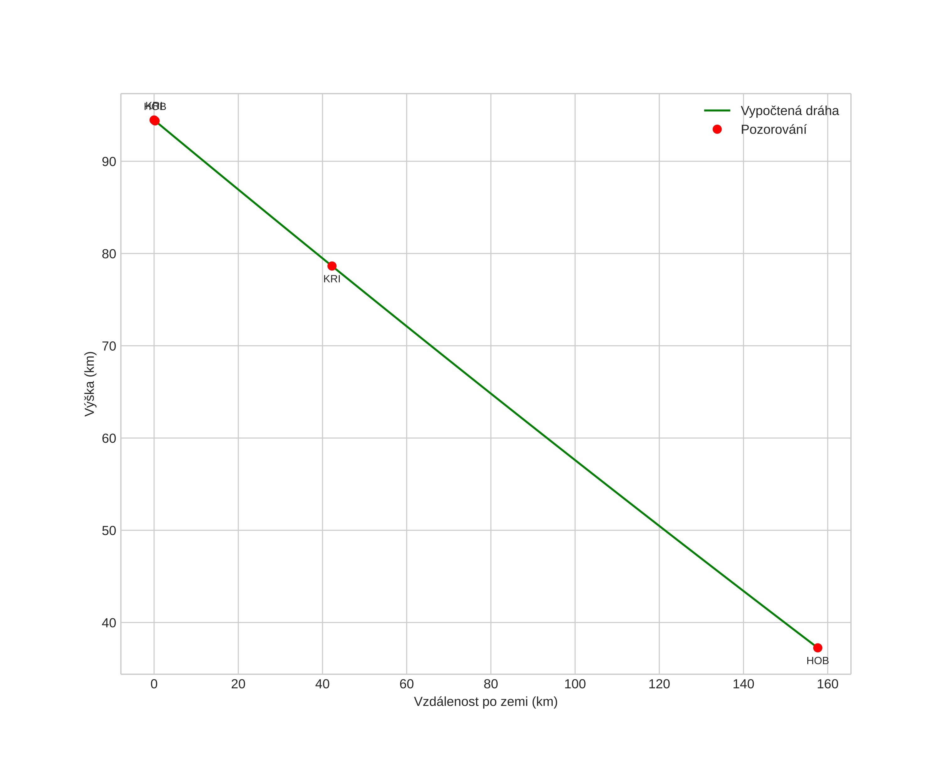
height profile
Atmosférická dráha meteoru:
Počáteční výška: 94,5 km
Konečná výška: 37,3 km
Počáteční poloha: 56,114N 11,294E
Konečná poloha: 56,977N 9,252E
Směr: 308,3°
Sklon: 19,9°
VstupnĂ­ rychlost: 63,0 km/s
Rektascenze radiantu: 22:46 (341,6°)
Deklinace radiantu: -3,1°
MeteorickĂ˝ roj: sporadickĂ˝
Elementy dráhy meteoroidu:
Vzdálenost v periheliu: 0,036 AU
Excentricita: 1,067
Sklon dráhy: 35,6°
Délka vzestupného uzlu: 140,1°
Argument perihelia: 330,2°
Střední anomálie: -57,7°
Epocha: 2017 AUG 12 21:25:38
orbit plot

NeinteraktivnĂ­ graf | InteraktivnĂ­ graf

position vs time
speed and acceleration