🇳🇴 🇬🇧 🇩🇪 🇨🇿 🇫🇮

Meteor Løgstørin yllä 2017-08-12 21:25:38 UTC

KML-tiedosto  |  Interaktiivinen kartta

Kartta näyttää meteorin suuntahavainnot. Vaaleammat viivat näyttävät suunnat havaintoasemilta meteorin ilmestyessä, ja tummemmat viivat näyttävät, missä se viimeksi nähtiin. Sininen nuoli näyttää meteorin näkyvän lennon.

static map
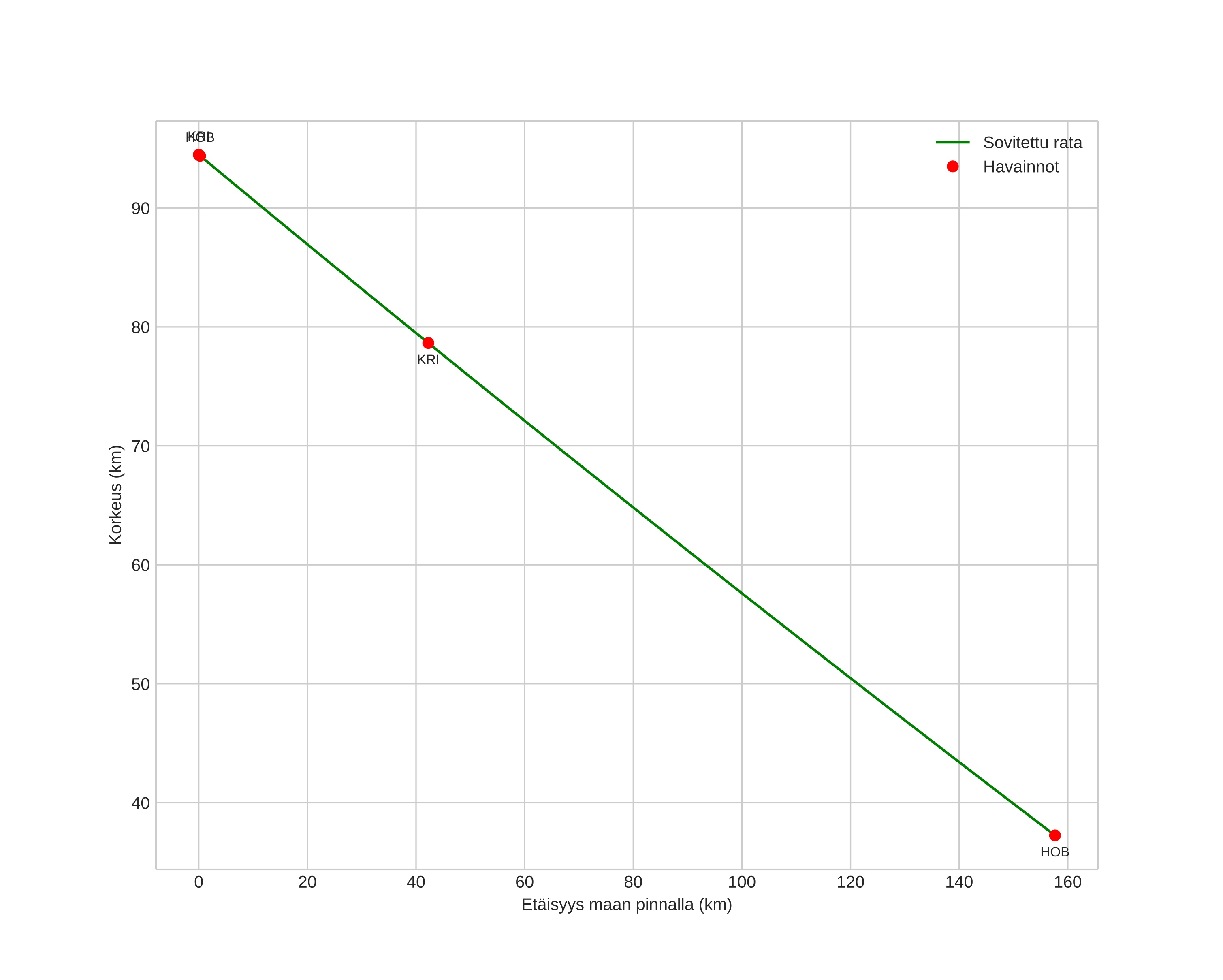
height profile
Meteorin ilmakehärata:
Alkukorkeus: 94,5 km
Loppukorkeus: 37,3 km
Alkupiste: 56,114N 11,294E
Loppupiste: 56,977N 9,252E
Suunta: 308,3°
Kallistuskulma: 19,9°
Tulonopeus: 63,0 km/s
Radiantin R,A,: 22:46 (341,6°)
Radiantin Dekl,: -3,1°
Meteoriparvi: Sporadinen
Meteoroidin rataelementit:
Perihelietäisyys: 0,036 AU
Eksentrisyys: 1,067
Inklinaatio: 35,6°
Nousevan solmun pituus: 140,1°
Perihelin argumentti: 330,2°
Keskianomalia: -57,7°
Epookki: 2017 AUG 12 21:25:38
orbit plot

Ei-interaktiivinen kuvaaja | Interaktiivinen kuvaaja

position vs time
speed and acceleration