🇳🇴 🇬🇧 🇩🇪 🇨🇿 🇫🇮

Meteor, poloha: Hestra 2017-08-13 20:29:04 UTC

Soubor KML  |  InteraktivnĂ­ mapa

Mapa zobrazuje dráhy meteoru. Světlejší čáry ukazují směry od pozorovacích stanic při objevení se meteoru a tmavší čáry, kde byl naposledy viděn. Modrá šipka značí viditelnou dráhu meteoru.

static map
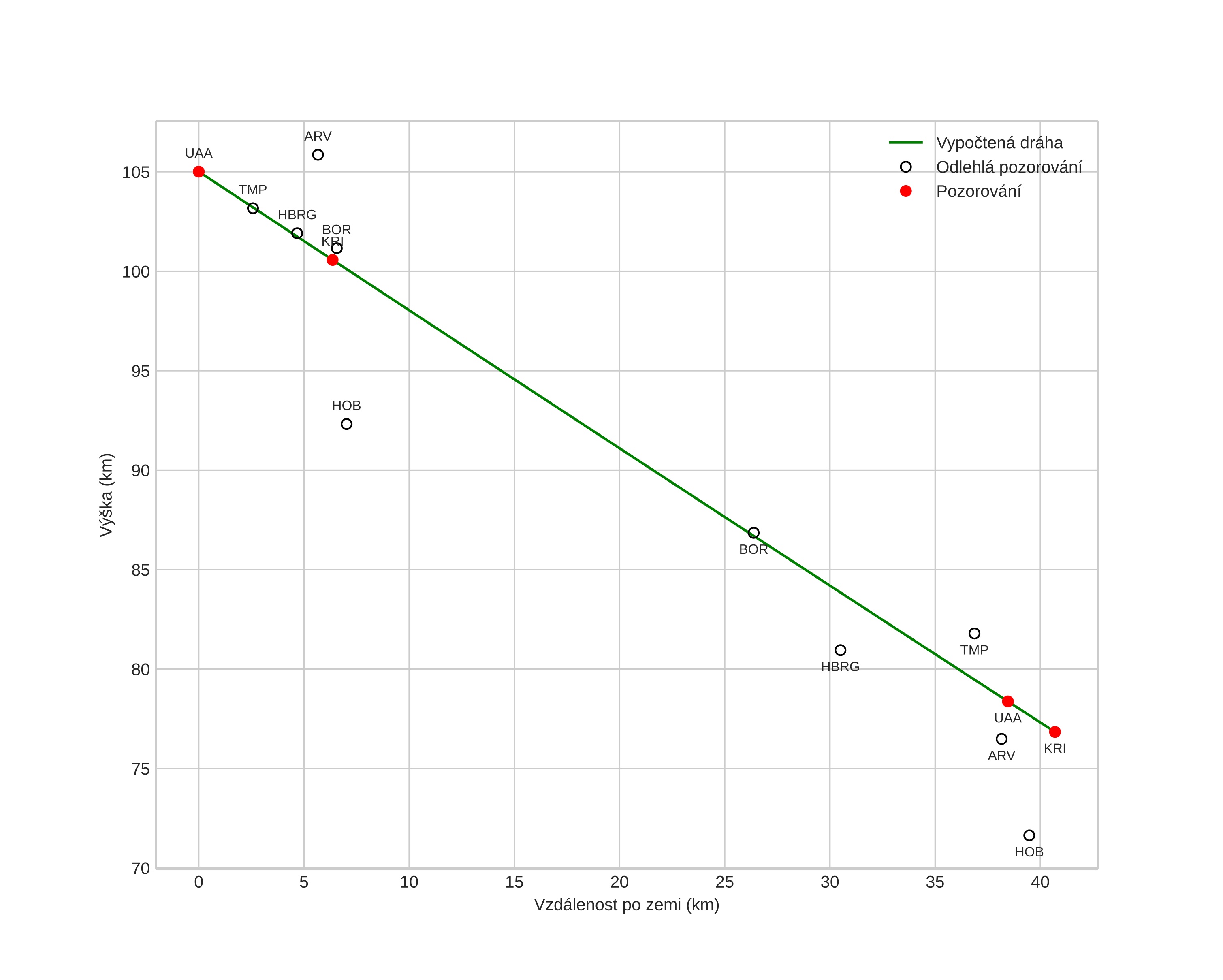
height profile
Atmosférická dráha meteoru:
Počáteční výška: 105,0 km
Konečná výška: 76,8 km
Počáteční poloha: 57,801N 14,047E
Konečná poloha: 57,483N 13,710E
Směr: 209,7°
Sklon: 34,7°
VstupnĂ­ rychlost: 57,9 km/s
Rektascenze radiantu: 03:21 (50,5°)
Deklinace radiantu: 59,2°
MeteorickĂ˝ roj: Perseidy
Elementy dráhy meteoroidu:
Vzdálenost v periheliu: 0,934 AU
Excentricita: 0,806
Sklon dráhy: 110,4°
Délka vzestupného uzlu: 141,0°
Argument perihelia: 145,6°
Střední anomálie: 2,3°
Epocha: 2017 AUG 13 20:29:04
orbit plot

NeinteraktivnĂ­ graf | InteraktivnĂ­ graf

position vs time
speed and acceleration