🇳🇴 🇬🇧 🇩🇪 🇨🇿 🇫🇮

Meteor Hestran yllä 2017-08-13 20:29:04 UTC

KML-tiedosto  |  Interaktiivinen kartta

Kartta näyttää meteorin suuntahavainnot. Vaaleammat viivat näyttävät suunnat havaintoasemilta meteorin ilmestyessä, ja tummemmat viivat näyttävät, missä se viimeksi nähtiin. Sininen nuoli näyttää meteorin näkyvän lennon.

static map
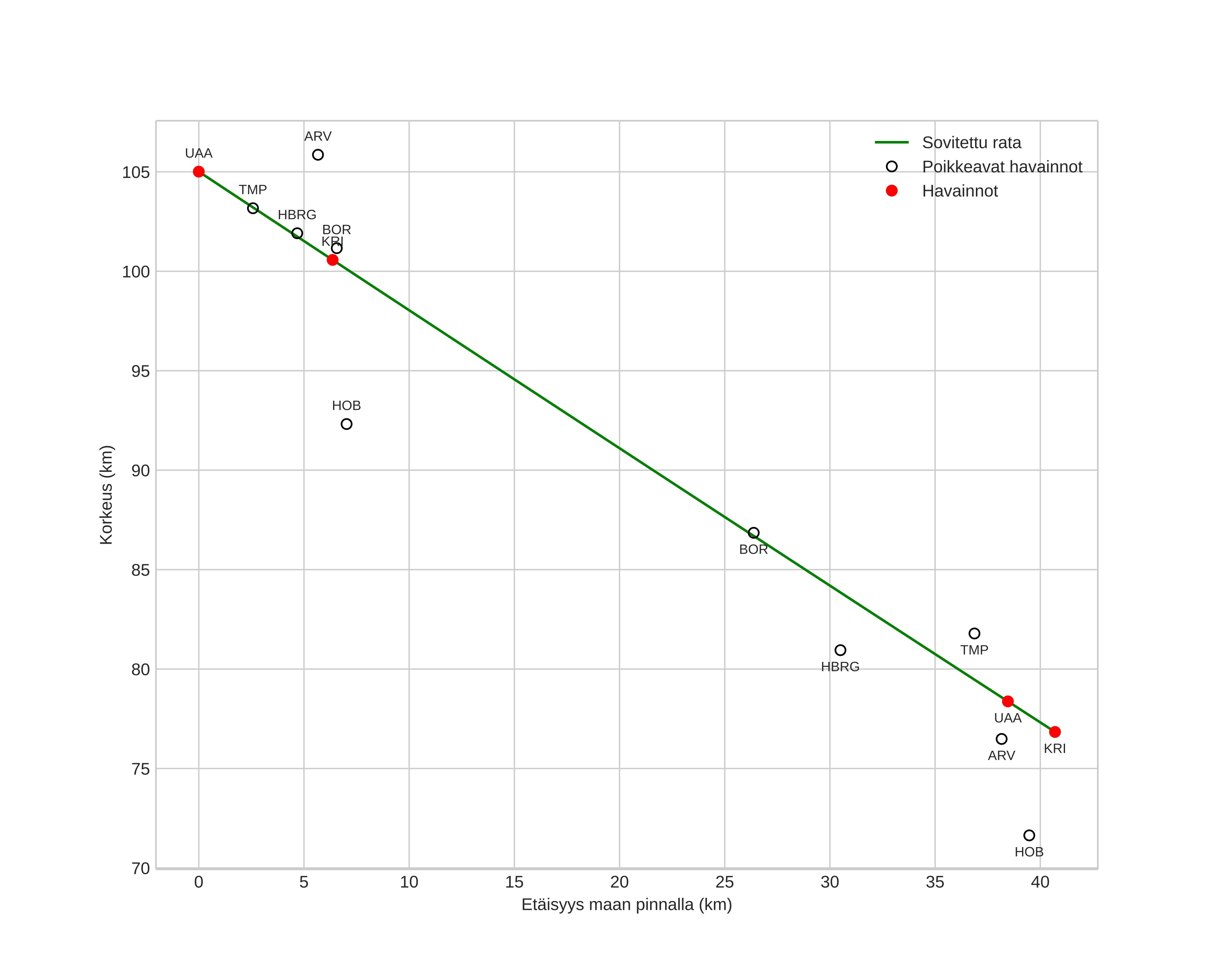
height profile
Meteorin ilmakehärata:
Alkukorkeus: 105,0 km
Loppukorkeus: 76,8 km
Alkupiste: 57,801N 14,047E
Loppupiste: 57,483N 13,710E
Suunta: 209,7°
Kallistuskulma: 34,7°
Tulonopeus: 57,9 km/s
Radiantin R,A,: 03:21 (50,5°)
Radiantin Dekl,: 59,2°
Meteoriparvi: Perseidit
Meteoroidin rataelementit:
Perihelietäisyys: 0,934 AU
Eksentrisyys: 0,806
Inklinaatio: 110,4°
Nousevan solmun pituus: 141,0°
Perihelin argumentti: 145,6°
Keskianomalia: 2,3°
Epookki: 2017 AUG 13 20:29:04
orbit plot

Ei-interaktiivinen kuvaaja | Interaktiivinen kuvaaja

position vs time
speed and acceleration

Kristiansand (KRI) cam3


gnomonic
Videot:
• Gnomoninen
• Gnomoninen koordinaateilla
• Alkuperäinen
• Alkuperäinen koordinaateilla
Kuvat:
• Gnomoninen
• Gnomoninen koordinaateilla
• Gnomoninen merkinnöillä
• Alkuperäinen
• Alkuperäinen koordinaateilla
• Alkuperäinen maskilla
Tekstitiedostot:
• Havaintoraportti
• Observaatio
• Koordinaatit
• Virheilmoitukset
• Loki
Kirkkaus

Temp (TMP) cam1


gnomonic
Videot:
• Gnomoninen
• Gnomoninen koordinaateilla
• Alkuperäinen
• Alkuperäinen koordinaateilla
Kuvat:
• Gnomoninen
• Gnomoninen koordinaateilla
• Gnomoninen merkinnöillä
• Alkuperäinen
• Alkuperäinen koordinaateilla
• Alkuperäinen maskilla
Tekstitiedostot:
• Havaintoraportti
• Observaatio
• Koordinaatit
• Virheilmoitukset
• Loki
Kirkkaus