🇳🇴 🇬🇧 🇩🇪 🇨🇿 🇫🇮

Meteor, poloha: Tranebjerg 2017-08-13 23:05:29 UTC

Soubor KML  |  InteraktivnĂ­ mapa

Mapa zobrazuje dráhy meteoru. Světlejší čáry ukazují směry od pozorovacích stanic při objevení se meteoru a tmavší čáry, kde byl naposledy viděn. Modrá šipka značí viditelnou dráhu meteoru.

static map
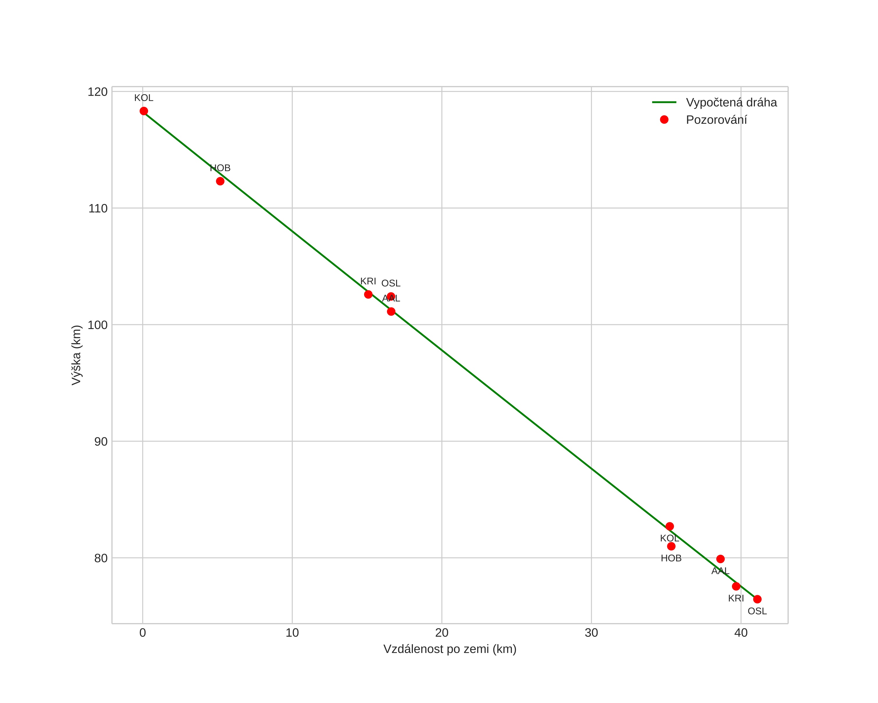
height profile
Atmosférická dráha meteoru:
Počáteční výška: 118,3 km
Konečná výška: 76,4 km
Počáteční poloha: 56,104N 11,313E
Konečná poloha: 55,867N 10,806E
Směr: 230,2°
Sklon: 45,6°
VstupnĂ­ rychlost: 60,5 km/s
Rektascenze radiantu: 03:09 (47,4°)
Deklinace radiantu: 57,2°
MeteorickĂ˝ roj: Perseidy
Elementy dráhy meteoroidu:
Vzdálenost v periheliu: 0,963 AU
Excentricita: 0,915
Sklon dráhy: 114,5°
Délka vzestupného uzlu: 141,1°
Argument perihelia: 153,8°
Střední anomálie: 0,5°
Epocha: 2017 AUG 13 23:05:29
orbit plot

NeinteraktivnĂ­ graf | InteraktivnĂ­ graf

position vs time
speed and acceleration