🇳🇴 🇬🇧 🇩🇪 🇨🇿 🇫🇮

Meteor Tranebjergin yllä 2017-08-13 23:05:29 UTC

KML-tiedosto  |  Interaktiivinen kartta

Kartta näyttää meteorin suuntahavainnot. Vaaleammat viivat näyttävät suunnat havaintoasemilta meteorin ilmestyessä, ja tummemmat viivat näyttävät, missä se viimeksi nähtiin. Sininen nuoli näyttää meteorin näkyvän lennon.

static map
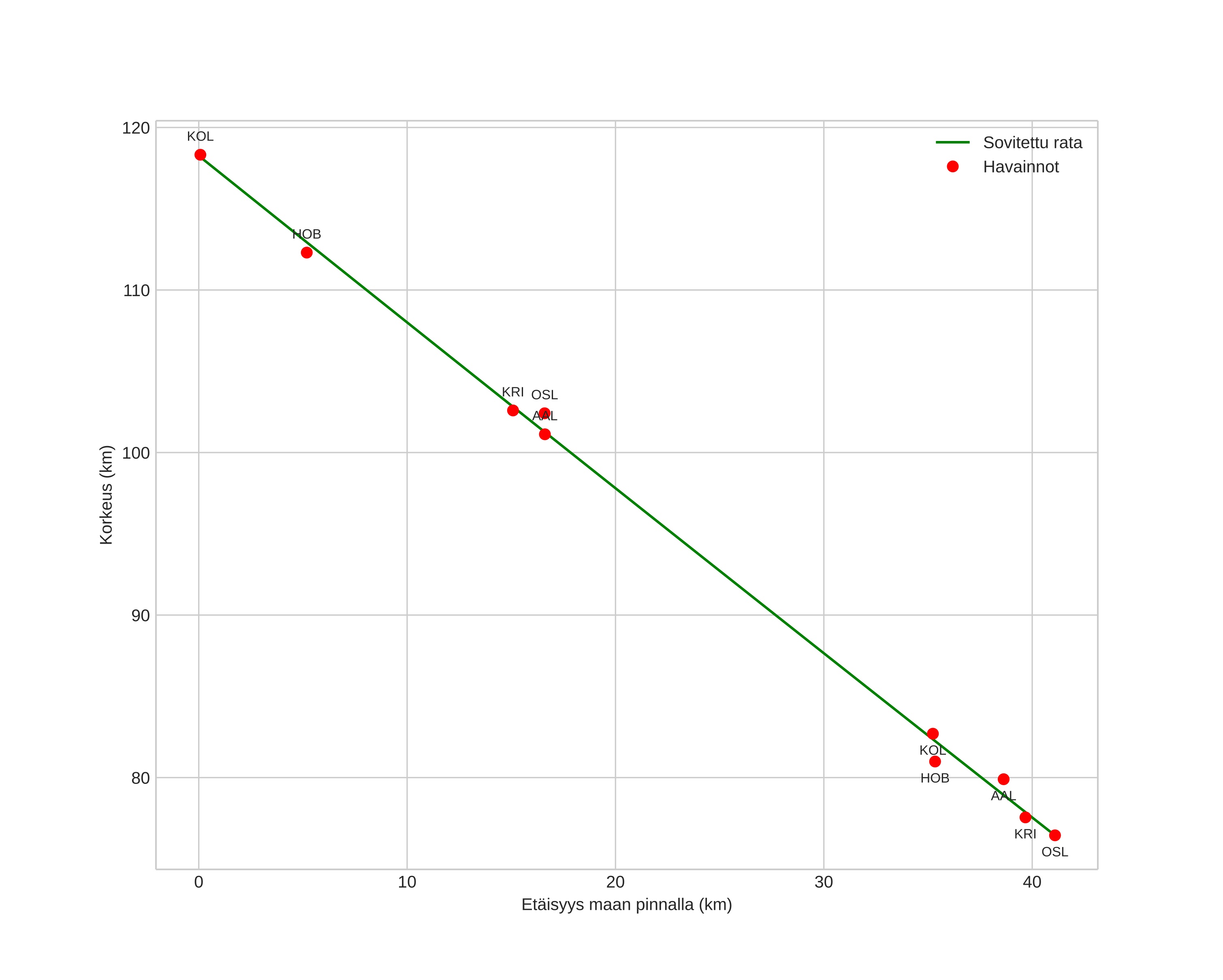
height profile
Meteorin ilmakehärata:
Alkukorkeus: 118,3 km
Loppukorkeus: 76,4 km
Alkupiste: 56,104N 11,313E
Loppupiste: 55,867N 10,806E
Suunta: 230,2°
Kallistuskulma: 45,6°
Tulonopeus: 60,5 km/s
Radiantin R,A,: 03:09 (47,4°)
Radiantin Dekl,: 57,2°
Meteoriparvi: Perseidit
Meteoroidin rataelementit:
Perihelietäisyys: 0,963 AU
Eksentrisyys: 0,915
Inklinaatio: 114,5°
Nousevan solmun pituus: 141,1°
Perihelin argumentti: 153,8°
Keskianomalia: 0,5°
Epookki: 2017 AUG 13 23:05:29
orbit plot

Ei-interaktiivinen kuvaaja | Interaktiivinen kuvaaja

position vs time
speed and acceleration