🇳🇴 🇬🇧 🇩🇪 🇨🇿 🇫🇮

Meteor, poloha: Hirtshals 2017-08-14 00:15:26 UTC

Soubor KML  |  InteraktivnĂ­ mapa

Mapa zobrazuje dráhy meteoru. Světlejší čáry ukazují směry od pozorovacích stanic při objevení se meteoru a tmavší čáry, kde byl naposledy viděn. Modrá šipka značí viditelnou dráhu meteoru.

static map
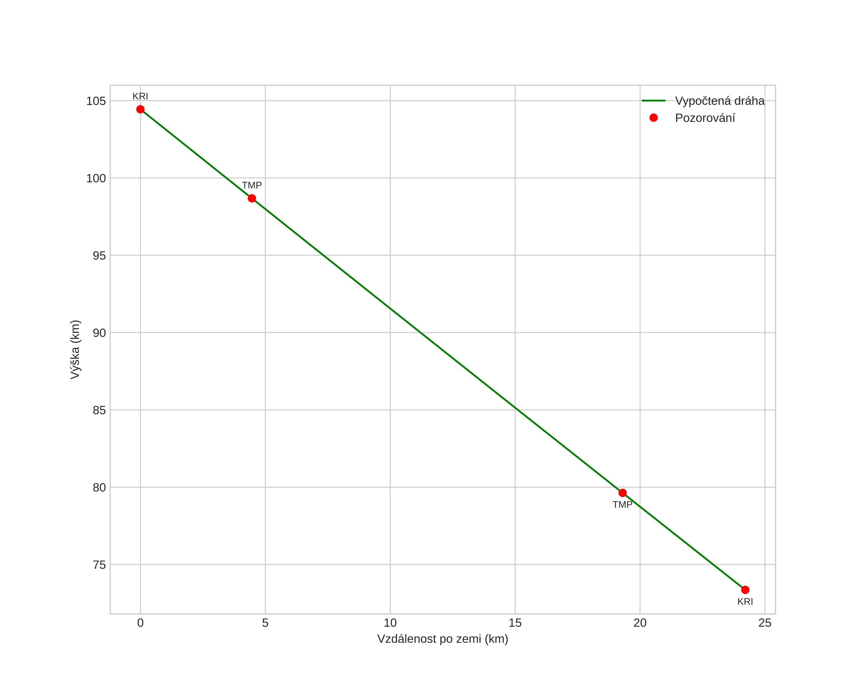
height profile
Atmosférická dráha meteoru:
Počáteční výška: 104,4 km
Konečná výška: 73,4 km
Počáteční poloha: 57,964N 10,421E
Konečná poloha: 57,872N 10,049E
Směr: 245,3°
Sklon: 52,0°
VstupnĂ­ rychlost: 64,1 km/s
Rektascenze radiantu: 03:07 (47,0°)
Deklinace radiantu: 53,4°
MeteorickĂ˝ roj: Perseidy
Elementy dráhy meteoroidu:
Vzdálenost v periheliu: 0,977 AU
Excentricita: 1,064
Sklon dráhy: 121,7°
Délka vzestupného uzlu: 141,2°
Argument perihelia: 158,6°
Střední anomálie: 0,2°
Epocha: 2017 AUG 14 00:15:26
orbit plot

NeinteraktivnĂ­ graf | InteraktivnĂ­ graf

position vs time
speed and acceleration