🇳🇴 🇬🇧 🇩🇪 🇨🇿 🇫🇮

Meteor Hirtshalsin yllä 2017-08-14 00:15:26 UTC

KML-tiedosto  |  Interaktiivinen kartta

Kartta näyttää meteorin suuntahavainnot. Vaaleammat viivat näyttävät suunnat havaintoasemilta meteorin ilmestyessä, ja tummemmat viivat näyttävät, missä se viimeksi nähtiin. Sininen nuoli näyttää meteorin näkyvän lennon.

static map
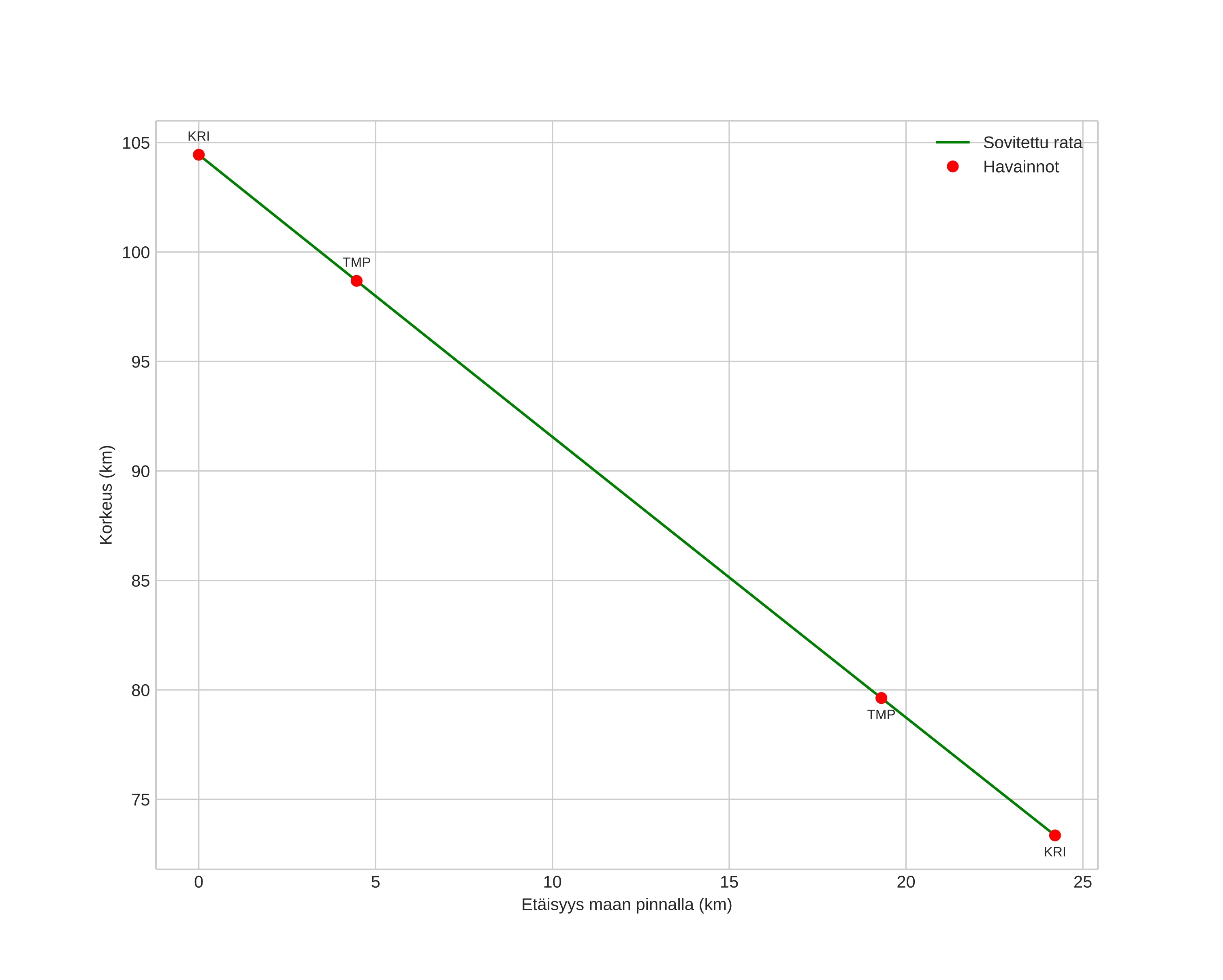
height profile
Meteorin ilmakehärata:
Alkukorkeus: 104,4 km
Loppukorkeus: 73,4 km
Alkupiste: 57,964N 10,421E
Loppupiste: 57,872N 10,049E
Suunta: 245,3°
Kallistuskulma: 52,0°
Tulonopeus: 64,1 km/s
Radiantin R,A,: 03:07 (47,0°)
Radiantin Dekl,: 53,4°
Meteoriparvi: Perseidit
Meteoroidin rataelementit:
Perihelietäisyys: 0,977 AU
Eksentrisyys: 1,064
Inklinaatio: 121,7°
Nousevan solmun pituus: 141,2°
Perihelin argumentti: 158,6°
Keskianomalia: 0,2°
Epookki: 2017 AUG 14 00:15:26
orbit plot

Ei-interaktiivinen kuvaaja | Interaktiivinen kuvaaja

position vs time
speed and acceleration