🇳🇴 🇬🇧 🇩🇪 🇨🇿 🇫🇮

Meteor, poloha: Skørping 2017-08-31 20:02:32 UTC

Soubor KML  |  InteraktivnĂ­ mapa

Mapa zobrazuje dráhy meteoru. Světlejší čáry ukazují směry od pozorovacích stanic při objevení se meteoru a tmavší čáry, kde byl naposledy viděn. Modrá šipka značí viditelnou dráhu meteoru.

static map
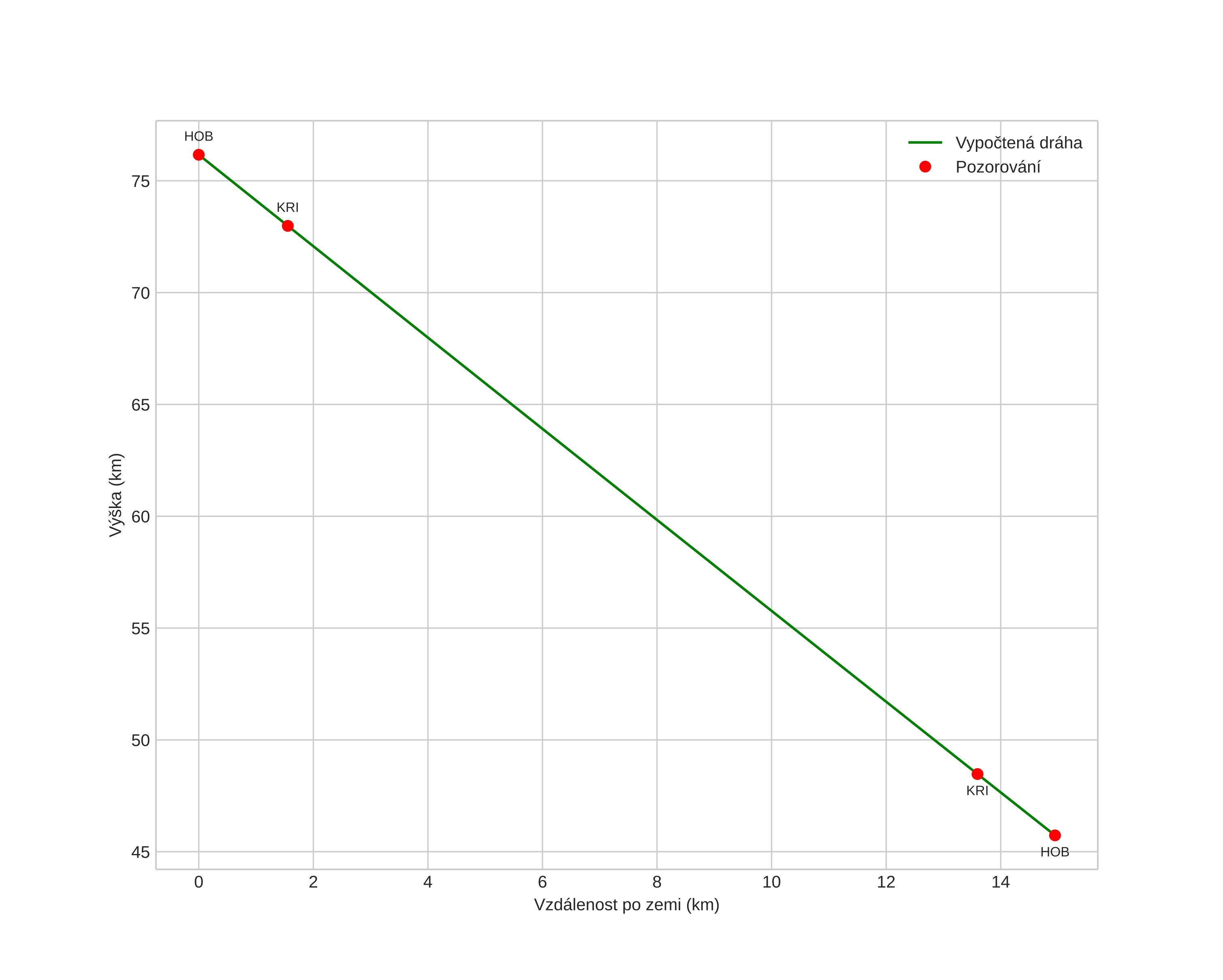
height profile
Atmosférická dráha meteoru:
Počáteční výška: 76,2 km
Konečná výška: 45,7 km
Počáteční poloha: 56,691N 9,821E
Konečná poloha: 56,814N 9,922E
Směr: 24,2°
Sklon: 63,9°
VstupnĂ­ rychlost: 16,3 km/s
Rektascenze radiantu: 18:23 (275,8°)
Deklinace radiantu: 27,8°
MeteorickĂ˝ roj: sporadickĂ˝
Elementy dráhy meteoroidu:
Vzdálenost v periheliu: 0,993 AU
Excentricita: 0,602
Sklon dráhy: 14,5°
Délka vzestupného uzlu: 158,4°
Argument perihelia: 197,0°
Střední anomálie: 356,6°
Epocha: 2017 AUG 31 20:02:32
orbit plot

NeinteraktivnĂ­ graf | InteraktivnĂ­ graf

position vs time
speed and acceleration